Официальное опубликование правовых актов
ОФИЦИАЛЬНОЕ ОПУБЛИКОВАНИЕ
Постановление Правительства Самарской области от 30.01.2026 № 34
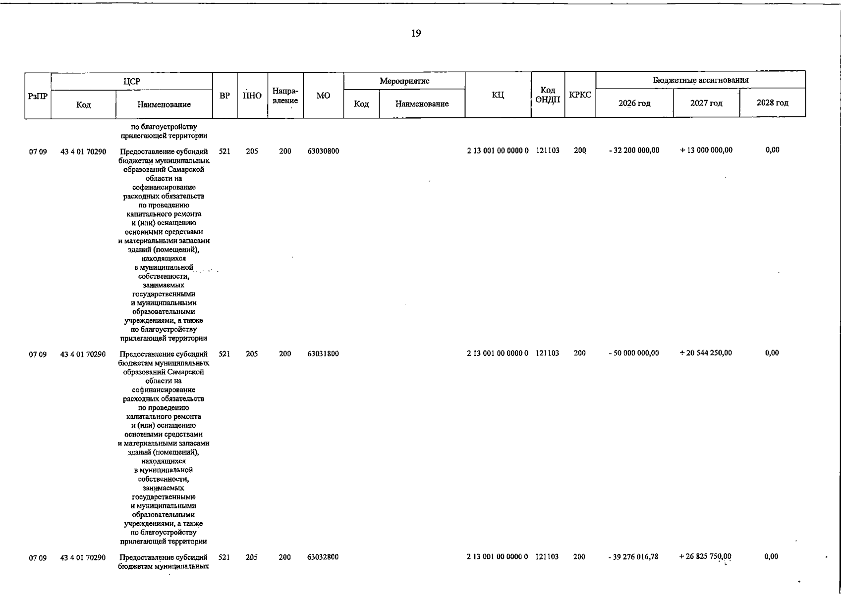
"О внесении изменений в отдельные распределения субсидий и иных межбюджетных трансфертов из областного бюджета бюджетам муниципальных образований, утвержденные Законом Самарской области "Об областном бюджете на 2026 год и на плановый период 2027 и 2028 годов", отдельные постановления Правительства Самарской области и о перераспределении бюджетных ассигнований (изменении сводной бюджетной росписи) областного бюджета"
Номер опубликования: 6300202602040003
Дата опубликования: 04.02.2026
Страница №30 из 55:
Увеличить