Официальное опубликование правовых актов
ОФИЦИАЛЬНОЕ ОПУБЛИКОВАНИЕ
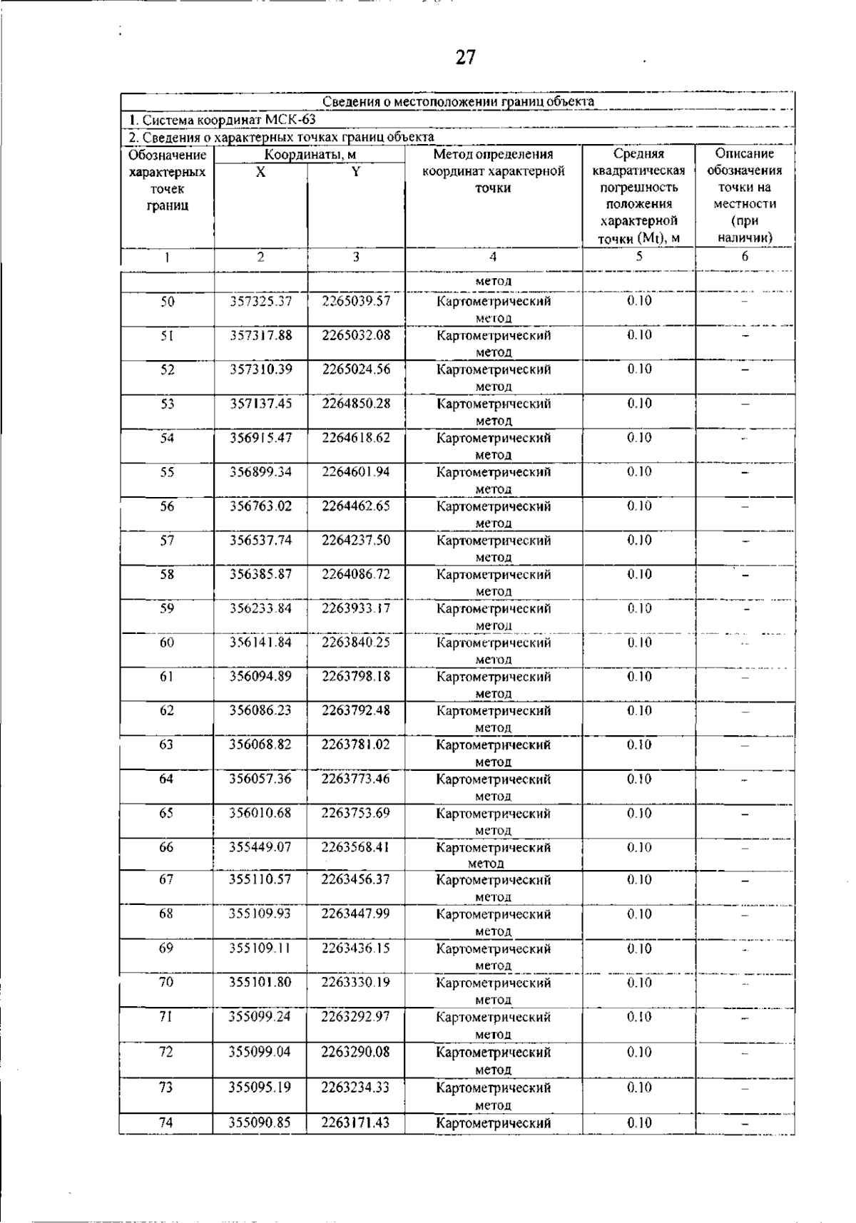
Постановление Правительства Самарской области от 12.03.2026 № 140
"О внесении изменений в Генеральный план сельского поселения Гвардейцы муниципального района Борский Самарской области"
Номер опубликования: 6300202603170014
Дата опубликования: 17.03.2026
Страница №73 из 104:
Увеличить