Официальное опубликование правовых актов
ОФИЦИАЛЬНОЕ ОПУБЛИКОВАНИЕ
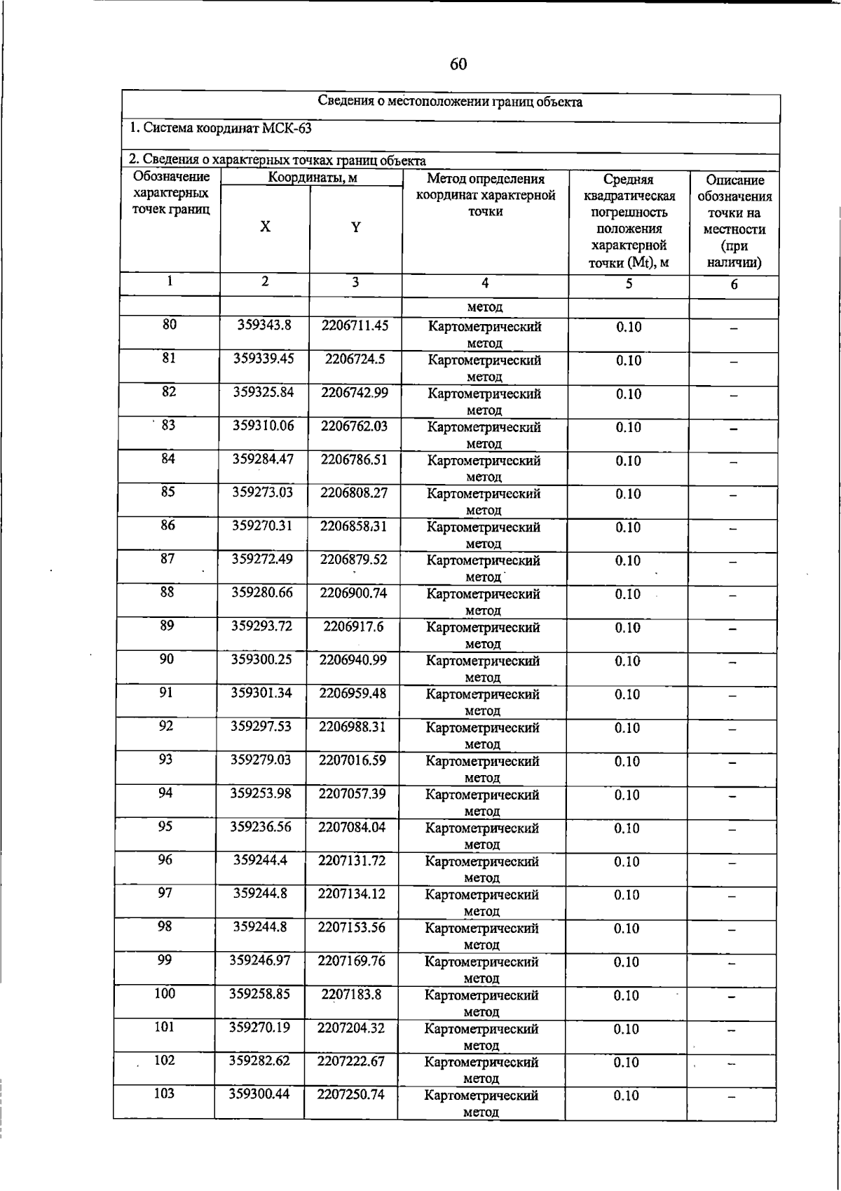
Постановление Правительства Самарской области от 23.03.2026 № 187
"О внесении изменений в Генеральный план сельского поселения Домашка муниципального района Кинельский Самарской области"
Номер опубликования: 6300202603250011
Дата опубликования: 25.03.2026
Страница №92 из 112:
Увеличить