Официальное опубликование правовых актов
ОФИЦИАЛЬНОЕ ОПУБЛИКОВАНИЕ
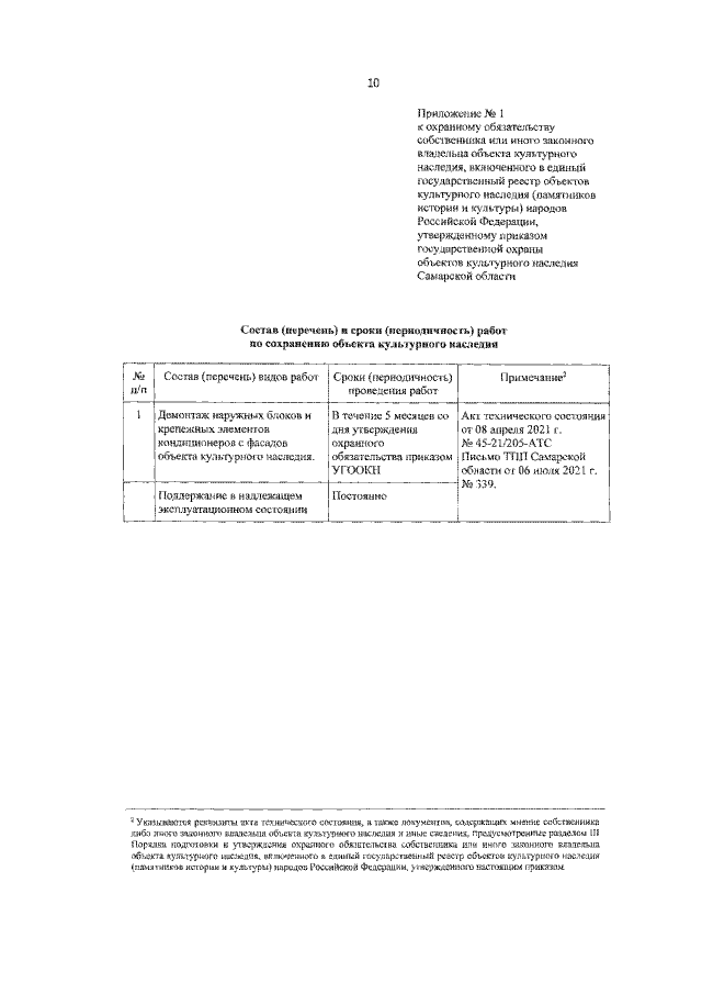
Приказ Управления государственной охраны объектов культурного наследия Самарской области от 05.08.2021 № 96
"Об утверждении охранного обязательства собственника или иного законного владельца объекта культурного наследия регионального значения "Особняк Аржанова", расположенного по адресу: г. Самара, ул. А.Толстого, 6"
Номер опубликования: 6301202108100002
Дата опубликования: 10.08.2021
Страница №10 из 15:
Увеличить