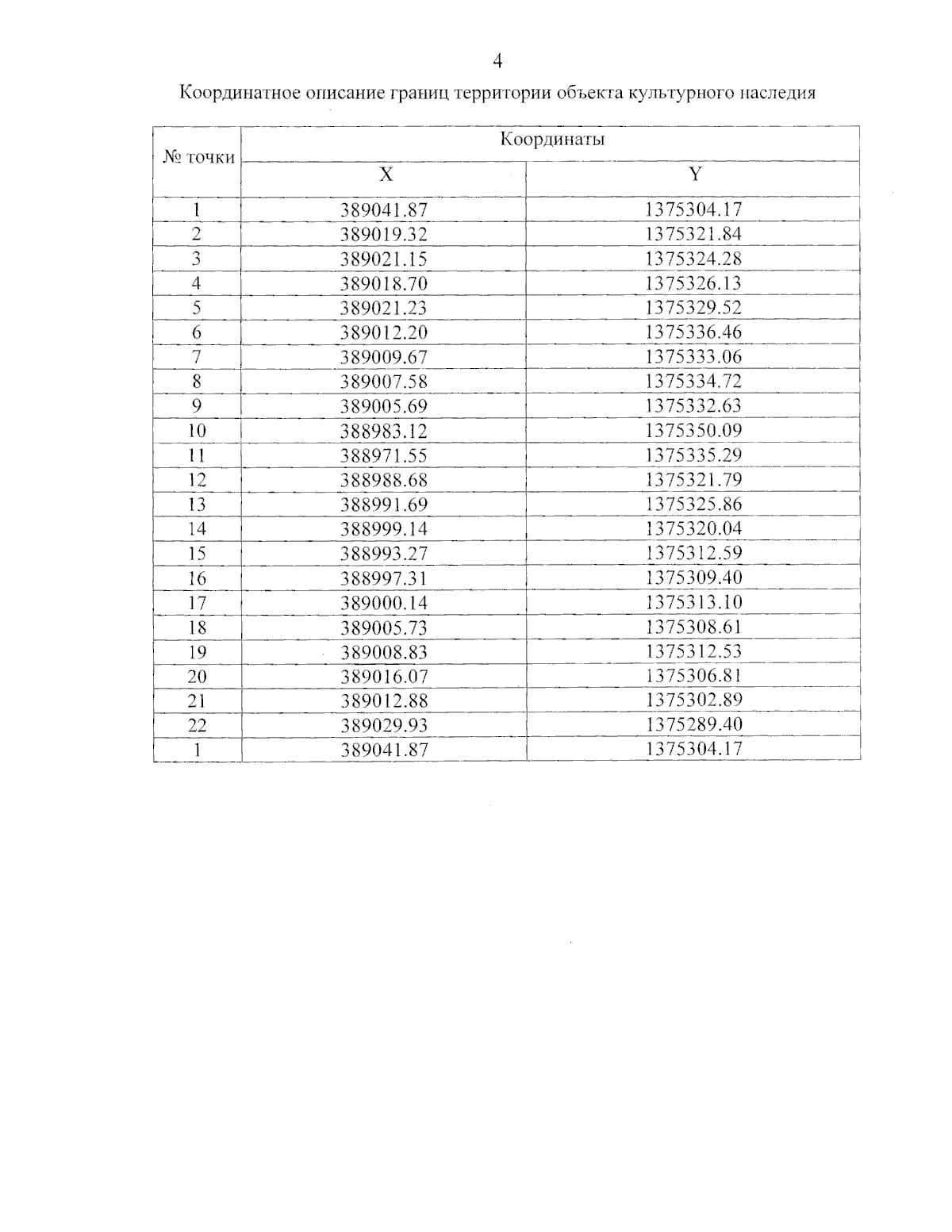
Приказ Государственной инспекции по охране объектов культурного наследия Самарской области от 24.09.2025 № 131
"Об исключении выявленных объектов культурного наследия из Перечня выявленных объектов культурного наследия Самарской области, включении их в единый государственный реестр объектов культурного наследия (памятников истории и культуры) народов Российской Федерации, утверждении границ территорий, режима использования территории и предметов охраны объектов культурного наследия"
(Зарегистрирован 24.09.2025 № ГИООКН 25131)
"Об исключении выявленных объектов культурного наследия из Перечня выявленных объектов культурного наследия Самарской области, включении их в единый государственный реестр объектов культурного наследия (памятников истории и культуры) народов Российской Федерации, утверждении границ территорий, режима использования территории и предметов охраны объектов культурного наследия"
(Зарегистрирован 24.09.2025 № ГИООКН 25131)
Номер опубликования: 6301202509250003
Дата опубликования:
25.09.2025
