Официальное опубликование правовых актов
ОФИЦИАЛЬНОЕ ОПУБЛИКОВАНИЕ
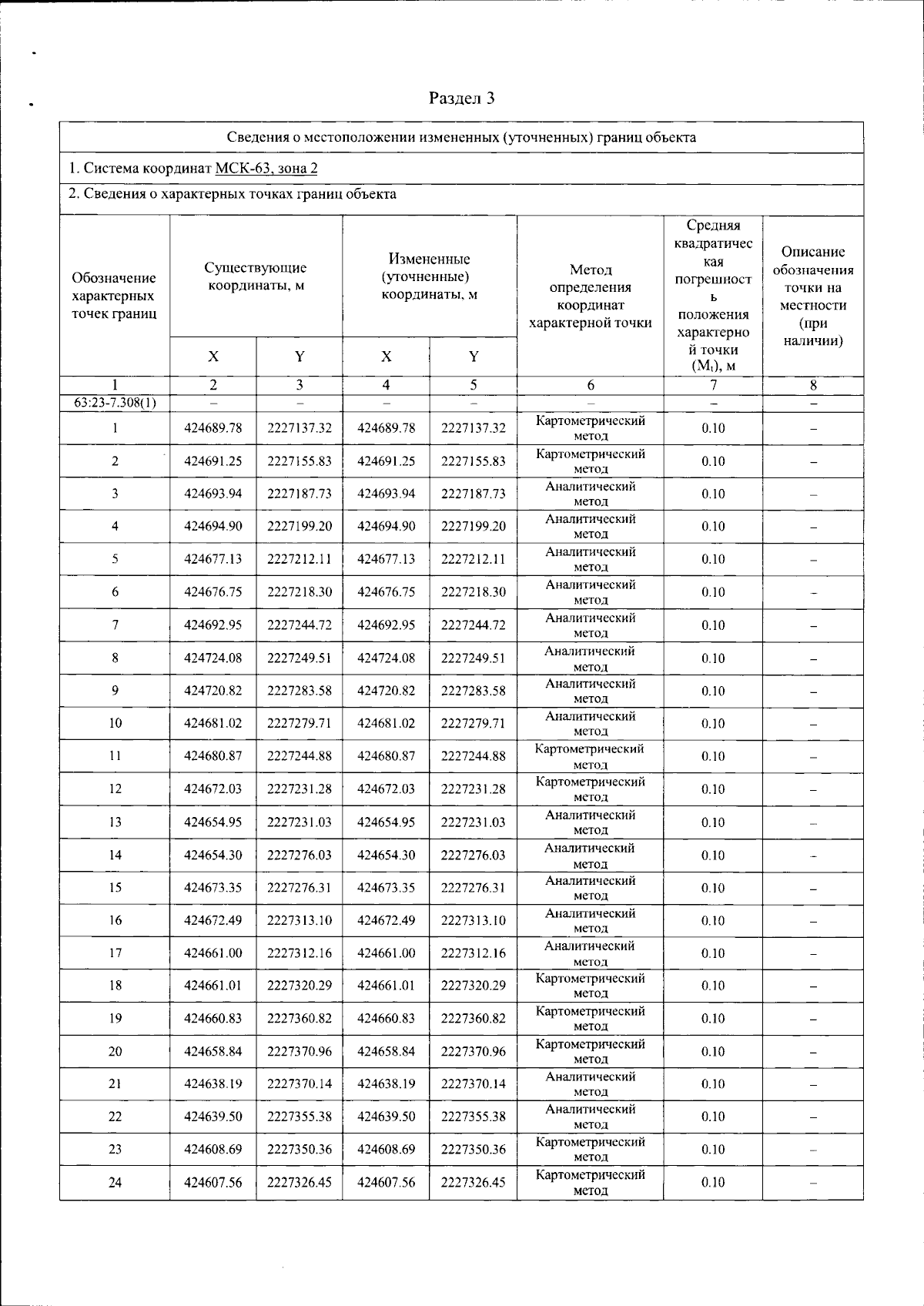
Приказ Министерства градостроительной политики Самарской области от 21.11.2025 № 523-п
"О внесении изменений в Правила землепользования и застройки сельского поселения Александровка муниципального района Кинель-Черкасский Самарской области, утвержденные решением Собрания представителей сельского поселения Александровка муниципального района Кинель-Черкасский Самарской области от 26.12.2013 № 22-1"
(Зарегистрирован 21.11.2025 № МГП-25-523)
Номер опубликования: 6301202511240008
Дата опубликования: 24.11.2025
Страница №6 из 17:
Увеличить