Официальное опубликование правовых актов
ОФИЦИАЛЬНОЕ ОПУБЛИКОВАНИЕ
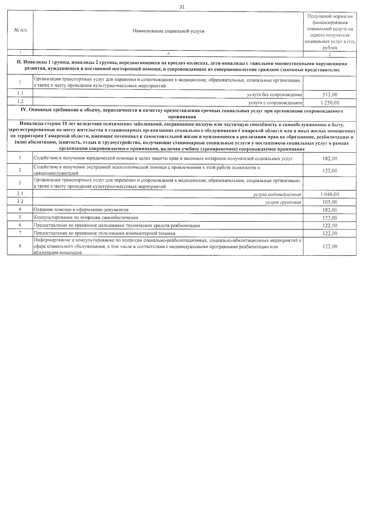
Приказ Министерства социально-демографической и семейной политики Самарской области от 19.12.2025 № 929
"Об утверждении подушевых нормативов финансирования социальных услуг в Самарской области и тарифов на социальные услуги на основании подушевых нормативов финансирования социальных услуг в Самарской области на 2026 год"
(Зарегистрирован 19.12.2025 № МСДСП-25-929)
Номер опубликования: 6301202512220017
Дата опубликования: 22.12.2025
Страница №32 из 60:
Увеличить