Официальное опубликование правовых актов
ОФИЦИАЛЬНОЕ ОПУБЛИКОВАНИЕ
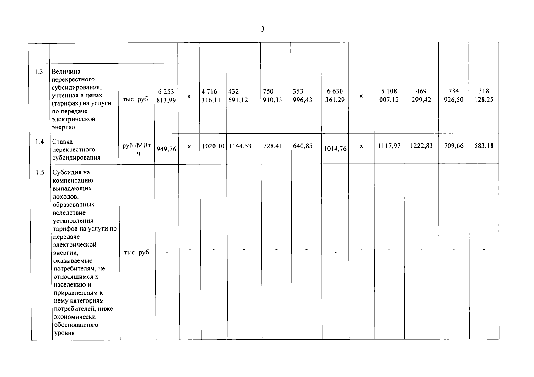
Приказ Комитета ценового и тарифного регулирования Самарской области от 24.12.2025 № 796
"О корректировке единых (котловых) тарифов на услуги по передаче электрической энергии по сетям Самарской области"
(Зарегистрирован 24.12.2025 № КЦТ-25-796)
Номер опубликования: 6301202512250001
Дата опубликования: 25.12.2025
Страница №6 из 62:
Увеличить