Официальное опубликование правовых актов
ОФИЦИАЛЬНОЕ ОПУБЛИКОВАНИЕ
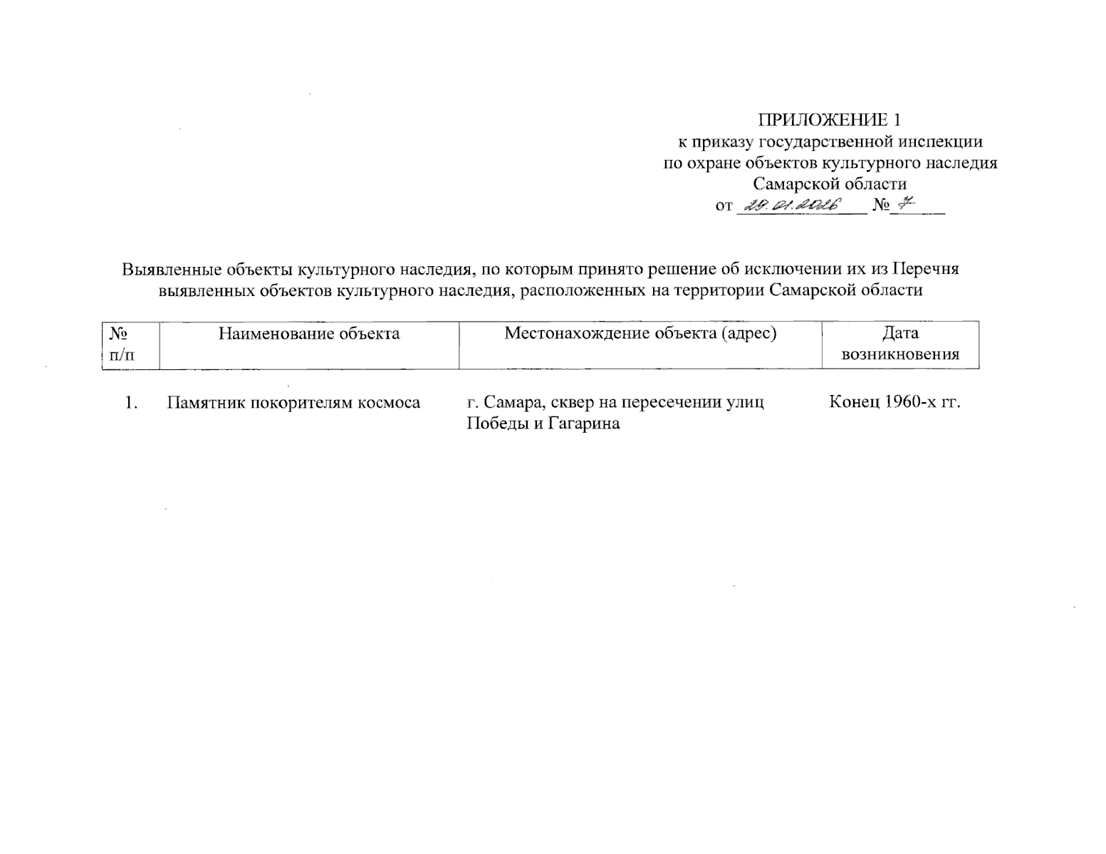
Приказ Государственной инспекции по охране объектов культурного наследия Самарской области от 29.01.2026 № 7
"Об исключении выявленного объекта культурного наследия из Перечня выявленных объектов культурного наследия, расположенных на территории Самарской области, включении его в единый государственный реестр объектов культурного наследия (памятников истории и культуры) народов Российской Федерации, утверждении границ территории, режима использования территории и предмета охраны объекта культурного наследия"
(Зарегистрирован 29.01.2026 № ГИООКН 267)
Номер опубликования: 6301202601300009
Дата опубликования: 30.01.2026
Страница №4 из 10:
Увеличить