Официальное опубликование правовых актов
ОФИЦИАЛЬНОЕ ОПУБЛИКОВАНИЕ
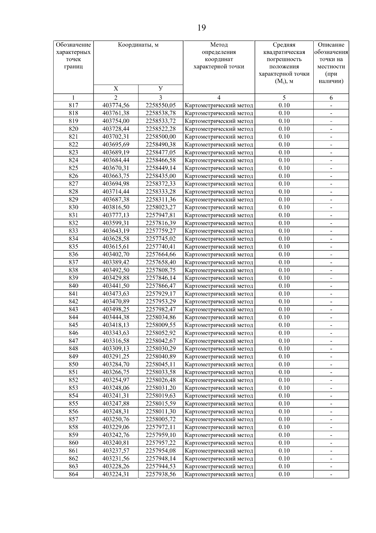
Приказ Министерства градостроительной политики Самарской области от 03.02.2026 № 67-п
"Об утверждении изменений в Правила землепользования и застройки сельского поселения Черновка муниципального района Кинель-Черкасский Самарской области, утвержденные решением Собрания представителей сельского поселения Черновка муниципального района Кинель-Черкасский Самарской области от 27.12.2013 № 17-1"
(Зарегистрирован 03.02.2026 № МГП-26-67)
Номер опубликования: 6301202602040010
Дата опубликования: 04.02.2026
Страница №63 из 75:
Увеличить