Официальное опубликование правовых актов
ОФИЦИАЛЬНОЕ ОПУБЛИКОВАНИЕ
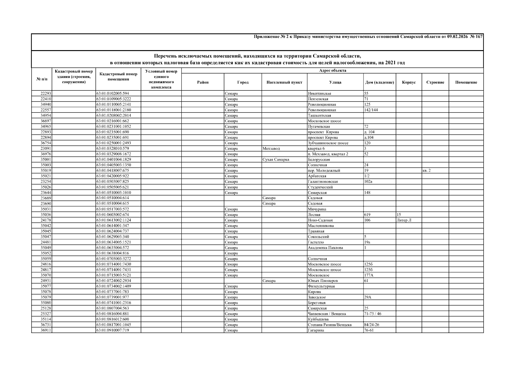
Приказ Министерства имущественных отношений Самарской области от 09.02.2026 № 167
"О внесении изменений в приказ министерства имущественных отношений Самарской области от 19.10.2020 № 2014 "Об определении Перечня объектов недвижимого имущества, находящихся на территории Самарской области, в отношении которых налоговая база определяется как их кадастровая стоимость для целей налогообложения, на 2021 год"
(Зарегистрирован 09.02.2026 № МИО-25/167)
Номер опубликования: 6301202602090003
Дата опубликования: 09.02.2026
Страница №26 из 33:
Увеличить