Официальное опубликование правовых актов
ОФИЦИАЛЬНОЕ ОПУБЛИКОВАНИЕ
Приказ Министерства градостроительной политики Самарской области от 16.02.2026 № 108-п
"Об уточнении Правил землепользования и застройки сельского поселения Екатериновка муниципального района Безенчукский Самарской области, утвержденных решением Собрания представителей сельского поселения Екатериновка муниципального района Безенчукский Самарской области от 19.12.2013 № 138/14"
(Зарегистрирован 16.02.2026 № МГП-26-108-п)
Номер опубликования: 6301202602170004
Дата опубликования: 17.02.2026
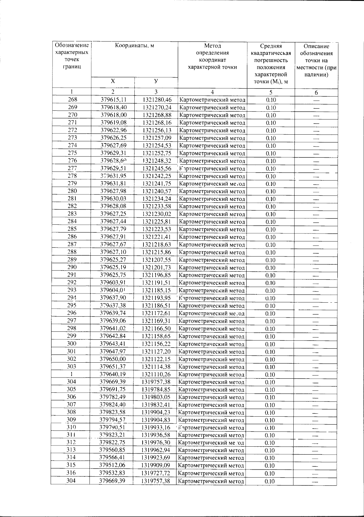
Страница №11 из 19:
Увеличить