Официальное опубликование правовых актов
ОФИЦИАЛЬНОЕ ОПУБЛИКОВАНИЕ
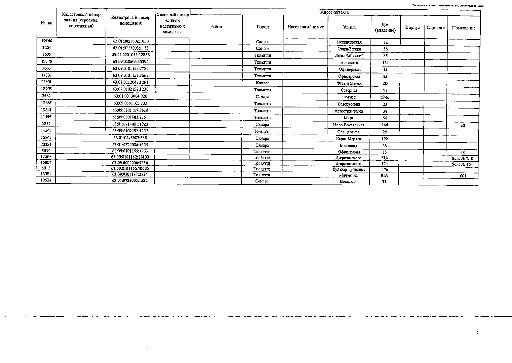
Приказ Министерства имущественных отношений Самарской области от 16.03.2026 № 383
"О внесении изменений в приказ министерства имущественных отношений Самарской области от 03.11.2023 № 2365 "Об определении Перечня объектов недвижимого имущества, находящихся на территории Самарской области, в отношении которых налоговая база определяется как их кадастровая стоимость для целей налогообложения, на 2024 год"
(Зарегистрирован 16.03.2026 № МИО-26/383)
Номер опубликования: 6301202603180007
Дата опубликования: 18.03.2026
Страница №8 из 8:
Увеличить