Официальное опубликование правовых актов
ОФИЦИАЛЬНОЕ ОПУБЛИКОВАНИЕ
Приказ Министерства градостроительной политики Самарской области от 24.03.2026 № 218-п
"Об утверждении изменений в Правила землепользования и застройки городского поселения Безенчук муниципального района Безенчукский Самарской области, утвержденные решением Собрания представителей городского поселения Безенчук муниципального района Безенчукский Самарской области от 12.12.2013 № 4/52"
(Зарегистрирован 24.03.2026 № МГП-26-218)
Номер опубликования: 6301202603260004
Дата опубликования: 26.03.2026
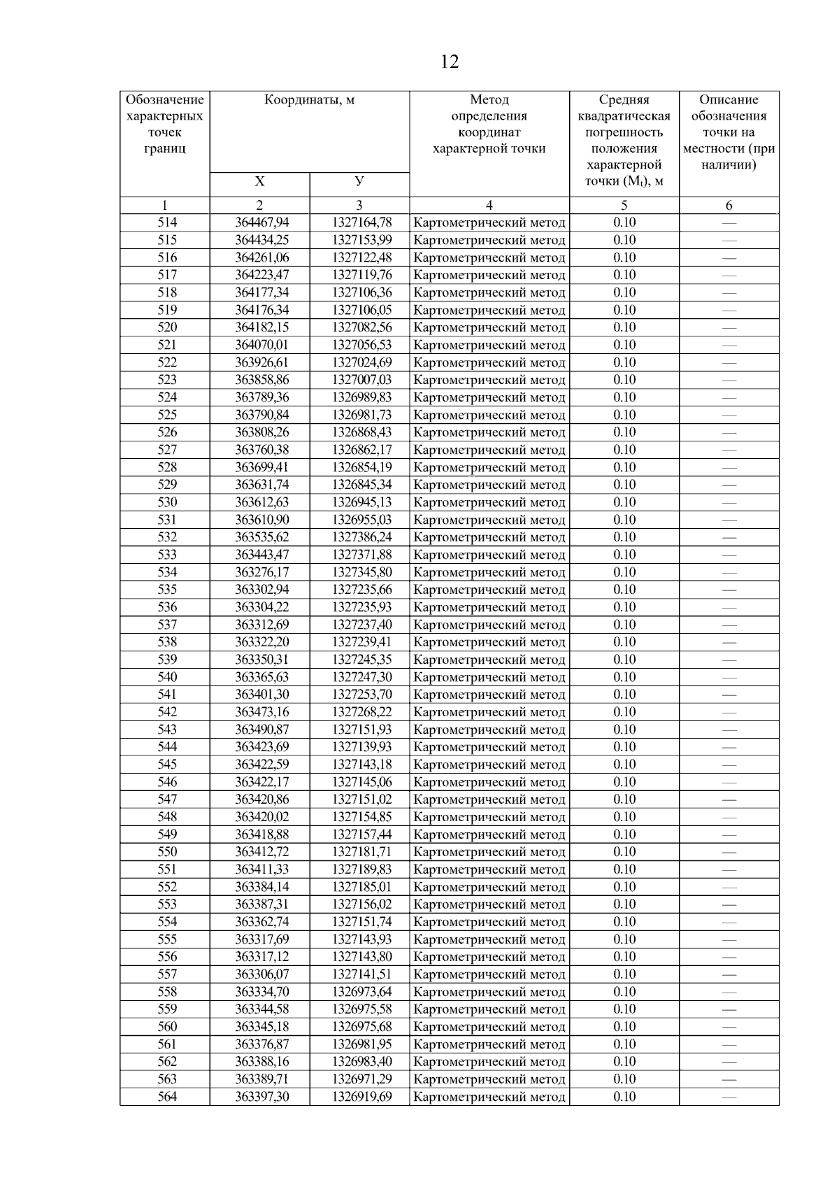
Страница №16 из 31:
Увеличить