Официальное опубликование правовых актов
ОФИЦИАЛЬНОЕ ОПУБЛИКОВАНИЕ
Приказ Министерства градостроительной политики Самарской области от 02.04.2026 № 245-п
"Об утверждении изменений в Правила землепользования и застройки городского округа Самара, утвержденные Постановлением Самарской Городской Думы от 26.04.2001 № 61"
(Зарегистрирован 02.04.2026 № МГП-26-245)
Номер опубликования: 6301202604020005
Дата опубликования: 02.04.2026
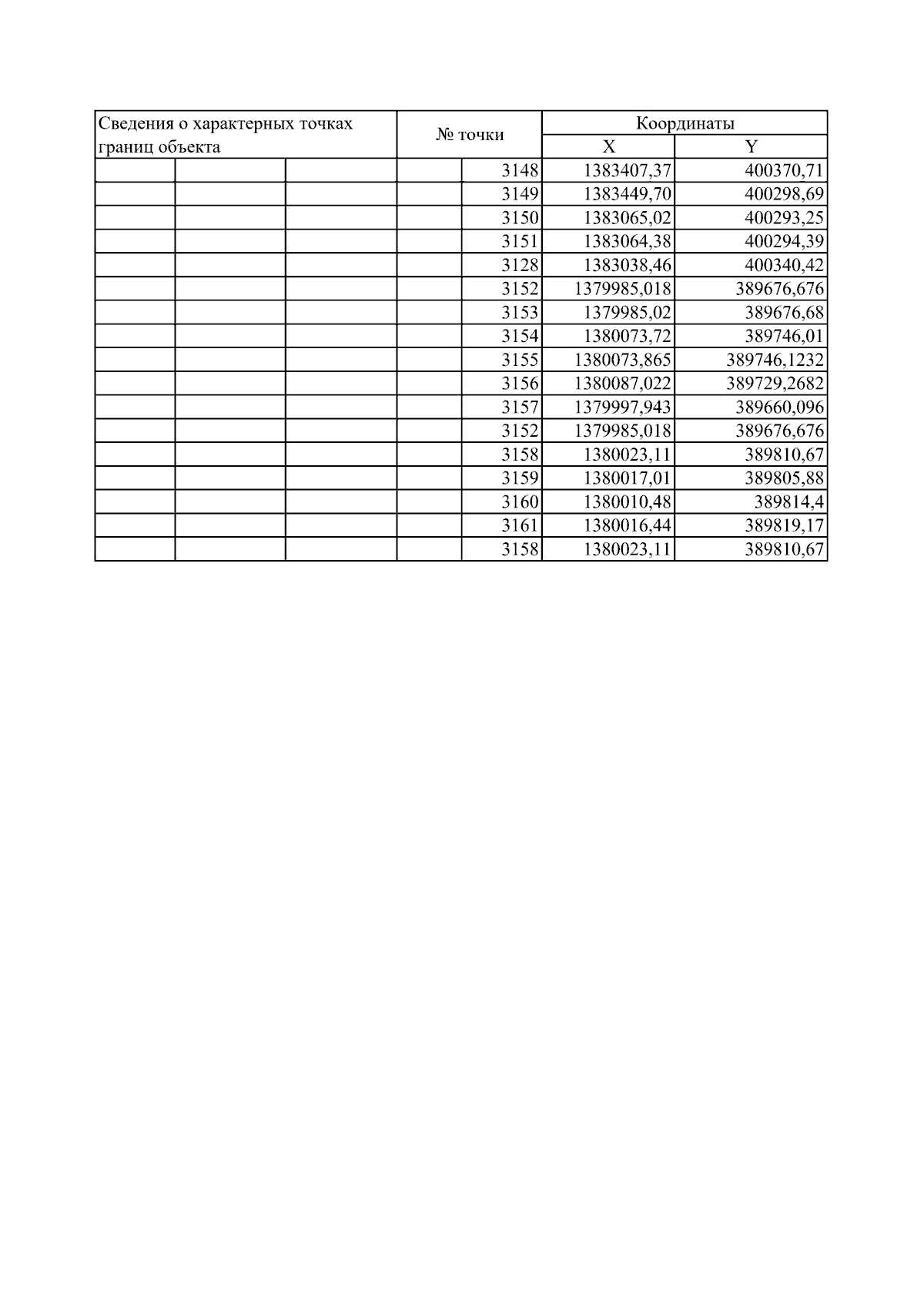
Страница №101 из 103:
Увеличить