Официальное опубликование правовых актов
ОФИЦИАЛЬНОЕ ОПУБЛИКОВАНИЕ
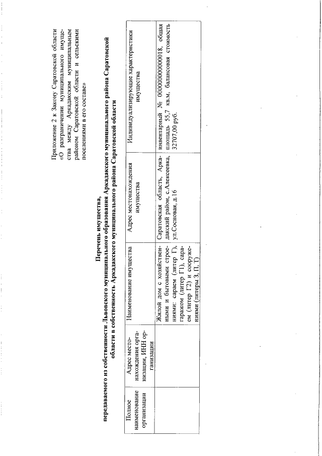
Закон Саратовской области от 28.04.2015 № 49-ЗСО
"О разграничении муниципального имущества между Аркадакским муниципальным районом Саратовской области и сельскими поселениями в его составе"
Номер опубликования: 6400201505050008
Дата опубликования: 05.05.2015
Страница №12 из 18:
Увеличить