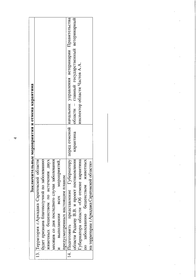
Постановление Губернатора Саратовской области от 02.10.2017 № 278
"Об установлении карантина по заболеванию бешенством животных на территории г.Аркадака Саратовской области"
"Об установлении карантина по заболеванию бешенством животных на территории г.Аркадака Саратовской области"
Номер опубликования: 6400201710060025
Дата опубликования:
06.10.2017
