Официальное опубликование правовых актов
ОФИЦИАЛЬНОЕ ОПУБЛИКОВАНИЕ
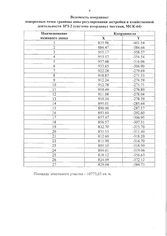
Постановление Правительства Саратовской области от 10.07.2018 № 384-П
"Об утверждении зон охраны объекта культурного наследия регионального значения "Школа-дворец, 1913-1914 г., арх.В.А.Люкшин", расположенного по адресу: г.Саратов, ул.Рахова, 193 / ул.Посадского, 248 (фактический адрес: ул.им.Посадского И.Н., 246)"
Номер опубликования: 6400201807130024
Дата опубликования: 13.07.2018
Страница №11 из 15:
Увеличить