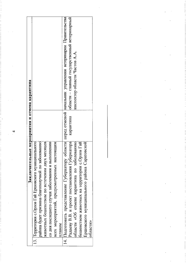
Постановление Губернатора Саратовской области от 16.08.2018 № 399
"Об установлении карантина по заболеванию бешенством животных на территории с.Орлов Гай Ершовского муниципального района Саратовской области"
"Об установлении карантина по заболеванию бешенством животных на территории с.Орлов Гай Ершовского муниципального района Саратовской области"
Номер опубликования: 6400201808220002
Дата опубликования:
22.08.2018
