Официальное опубликование правовых актов
ОФИЦИАЛЬНОЕ ОПУБЛИКОВАНИЕ
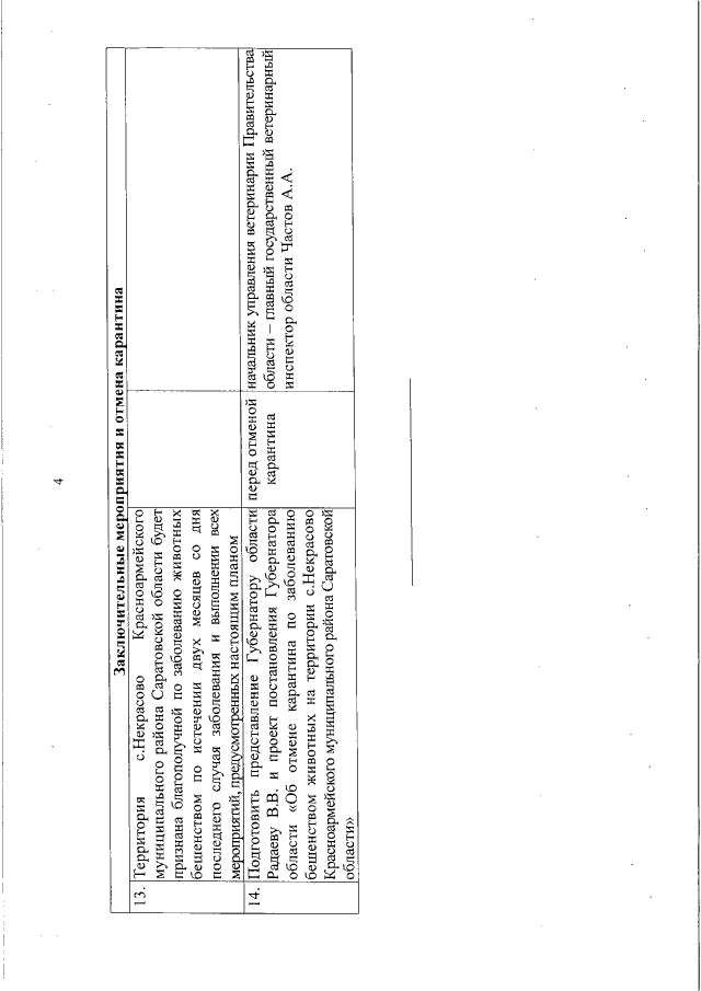
Постановление Губернатора Саратовской области от 22.08.2018 № 407
"Об установлении карантина по заболеванию бешенством животных на территории с.Некрасово Красноармейского муниципального района Саратовской области"
Номер опубликования: 6400201808270005
Дата опубликования: 27.08.2018
Страница №5 из 5:
Увеличить