Официальное опубликование правовых актов
ОФИЦИАЛЬНОЕ ОПУБЛИКОВАНИЕ
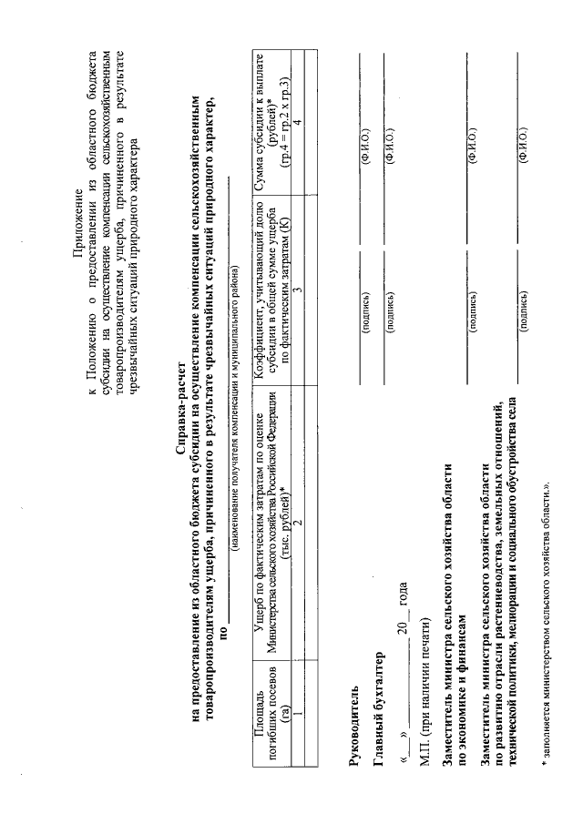
Постановление Правительства Саратовской области от 11.12.2018 № 681-П
"О внесении изменений в постановление Правительства Саратовской области от 15 декабря 2015 года № 622-П"
Номер опубликования: 6400201812180003
Дата опубликования: 18.12.2018
Страница №8 из 8:
Увеличить