Постановление Правительства Саратовской области от 12.04.2019 № 250-П
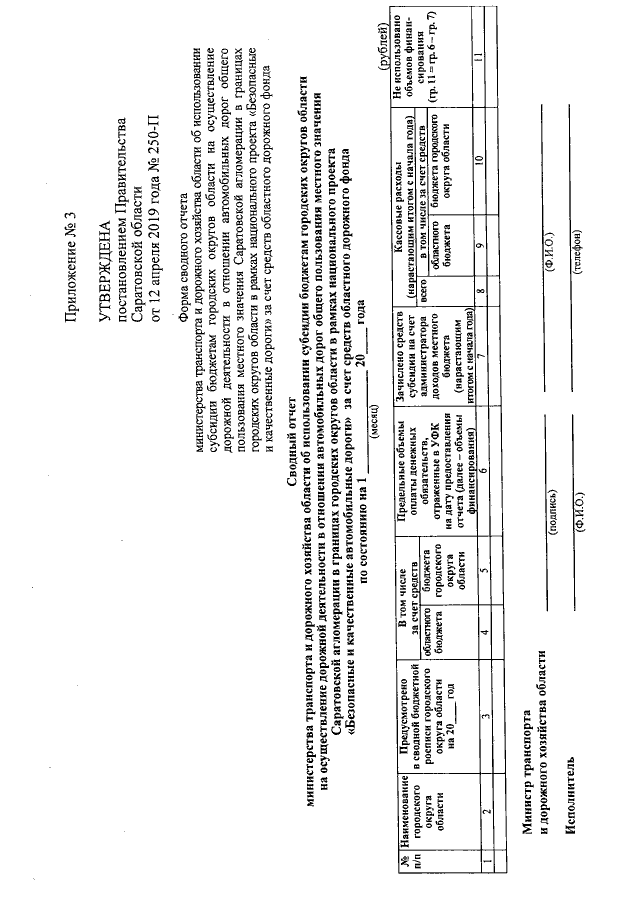
"О порядке предоставления субсидии бюджетам городских округов области на осуществление дорожной деятельности в отношении автомобильных дорог общего пользования местного значения Саратовской агломерации в границах городских округов области в рамках национального проекта "Безопасные и качественные автомобильные дороги" за счет средств областного дорожного фонда и условиях ее расходования"
"О порядке предоставления субсидии бюджетам городских округов области на осуществление дорожной деятельности в отношении автомобильных дорог общего пользования местного значения Саратовской агломерации в границах городских округов области в рамках национального проекта "Безопасные и качественные автомобильные дороги" за счет средств областного дорожного фонда и условиях ее расходования"
Номер опубликования: 6400201904190011
Дата опубликования:
19.04.2019
