Официальное опубликование правовых актов
ОФИЦИАЛЬНОЕ ОПУБЛИКОВАНИЕ
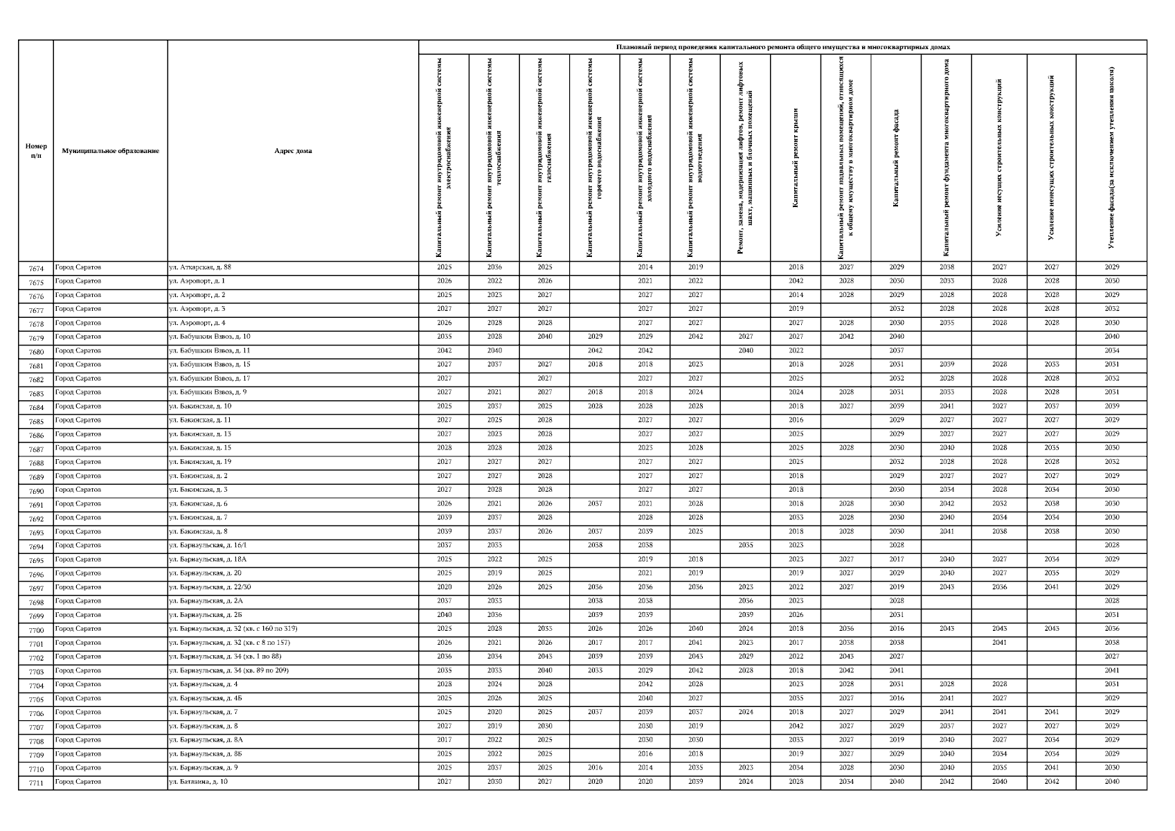
Постановление Правительства Саратовской области от 26.07.2024 № 629-П
"О внесении изменений в постановление Правительства Саратовской области от 31 декабря 2013 года № 800-П"
Номер опубликования: 6400202407310003
Дата опубликования: 31.07.2024
Страница №205 из 299:
Увеличить