Официальное опубликование правовых актов
ОФИЦИАЛЬНОЕ ОПУБЛИКОВАНИЕ
Постановление Правительства Саратовской области от 08.10.2024 № 831-П
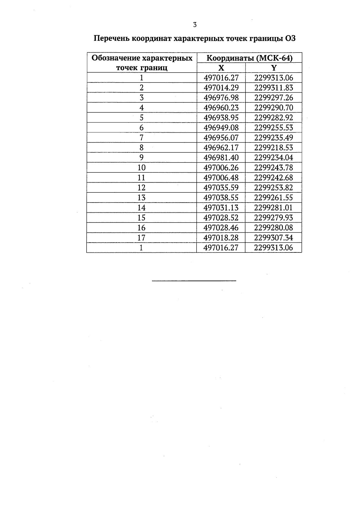
"Об утверждении зон охраны объекта культурного наследия местного (муниципального) значения "Доходный дом И.И. Лисунова", 1890-е гг., расположенного по адресу: Саратовская область, г. Саратов, ул. им. Кутякова И.С., 4"
Номер опубликования: 6400202410100016
Дата опубликования: 10.10.2024
Страница №5 из 12:
Увеличить