Официальное опубликование правовых актов
ОФИЦИАЛЬНОЕ ОПУБЛИКОВАНИЕ
Постановление Правительства Саратовской области от 19.01.2026 № 16-П
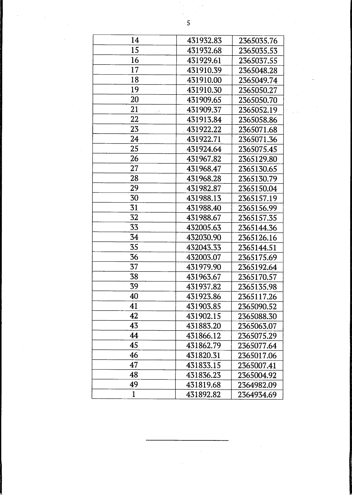
"Об утверждении объединенной зоны охраны объектов культурного наследия регионального значения: "Здание магазина Думлера", нач. XX в., расположенного по адресу: Саратовская область, г. Красный Кут, ул. Московская, 58; "Здание, в котором в 1918 году размещался волостной совет рабочих, крестьянских и солдатских депутатов", 1918 г., расположенного по адресу: Саратовская область, Краснокутский район, г. Красный Кут, ул. Комсомольская, 32"
Номер опубликования: 6400202601220008
Дата опубликования: 22.01.2026
Страница №7 из 17:
Увеличить