Официальное опубликование правовых актов
ОФИЦИАЛЬНОЕ ОПУБЛИКОВАНИЕ
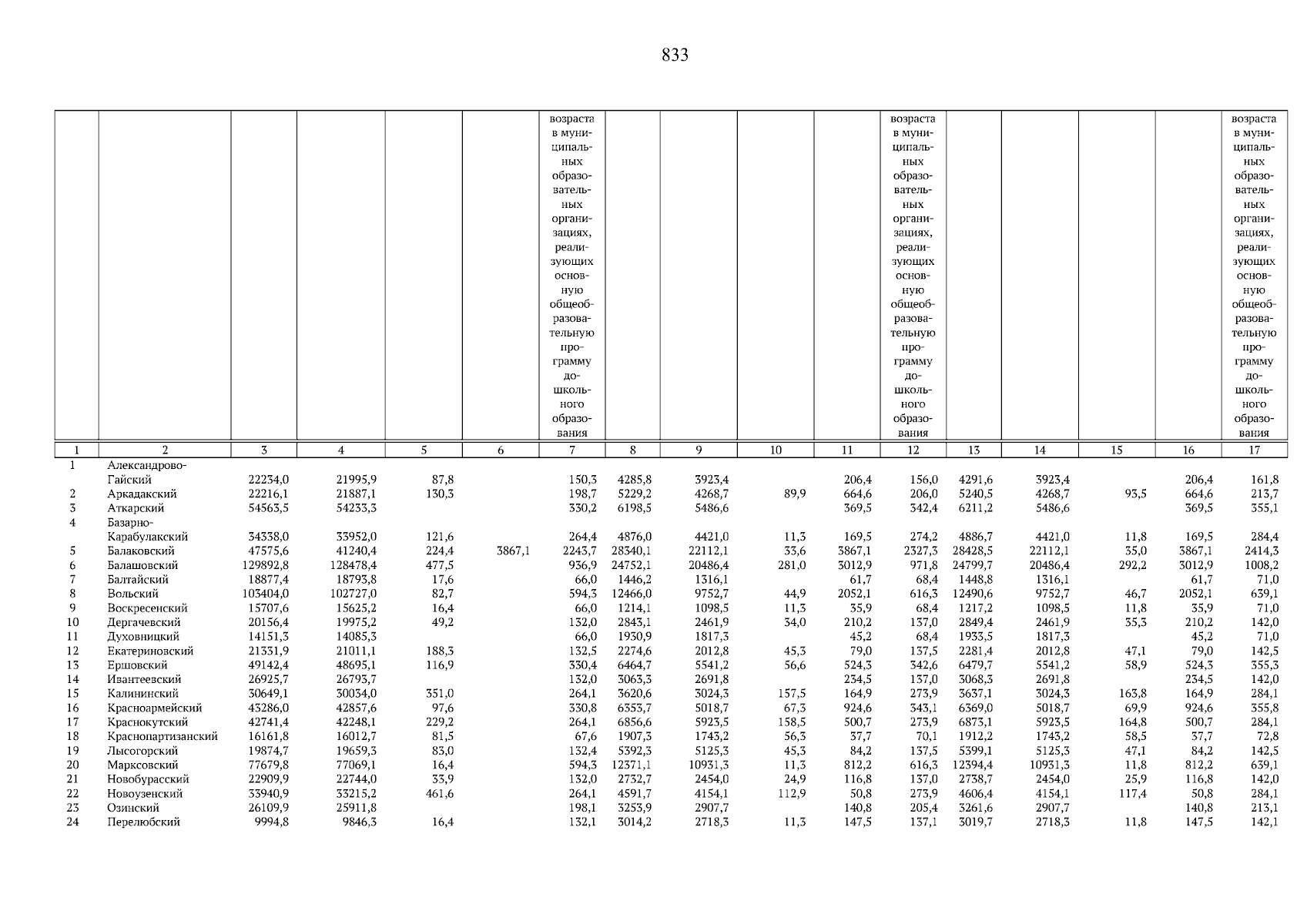
Закон Саратовской области от 26.02.2026 № 10-ЗСО
"О внесении изменений в Закон Саратовской области "Об областном бюджете на 2026 год и на плановый период 2027 и 2028 годов"
Номер опубликования: 6400202603050006
Дата опубликования: 05.03.2026
Страница №833 из 844:
Увеличить