Официальное опубликование правовых актов
ОФИЦИАЛЬНОЕ ОПУБЛИКОВАНИЕ
Постановление Правительства Саратовской области от 07.04.2026 № 238-П
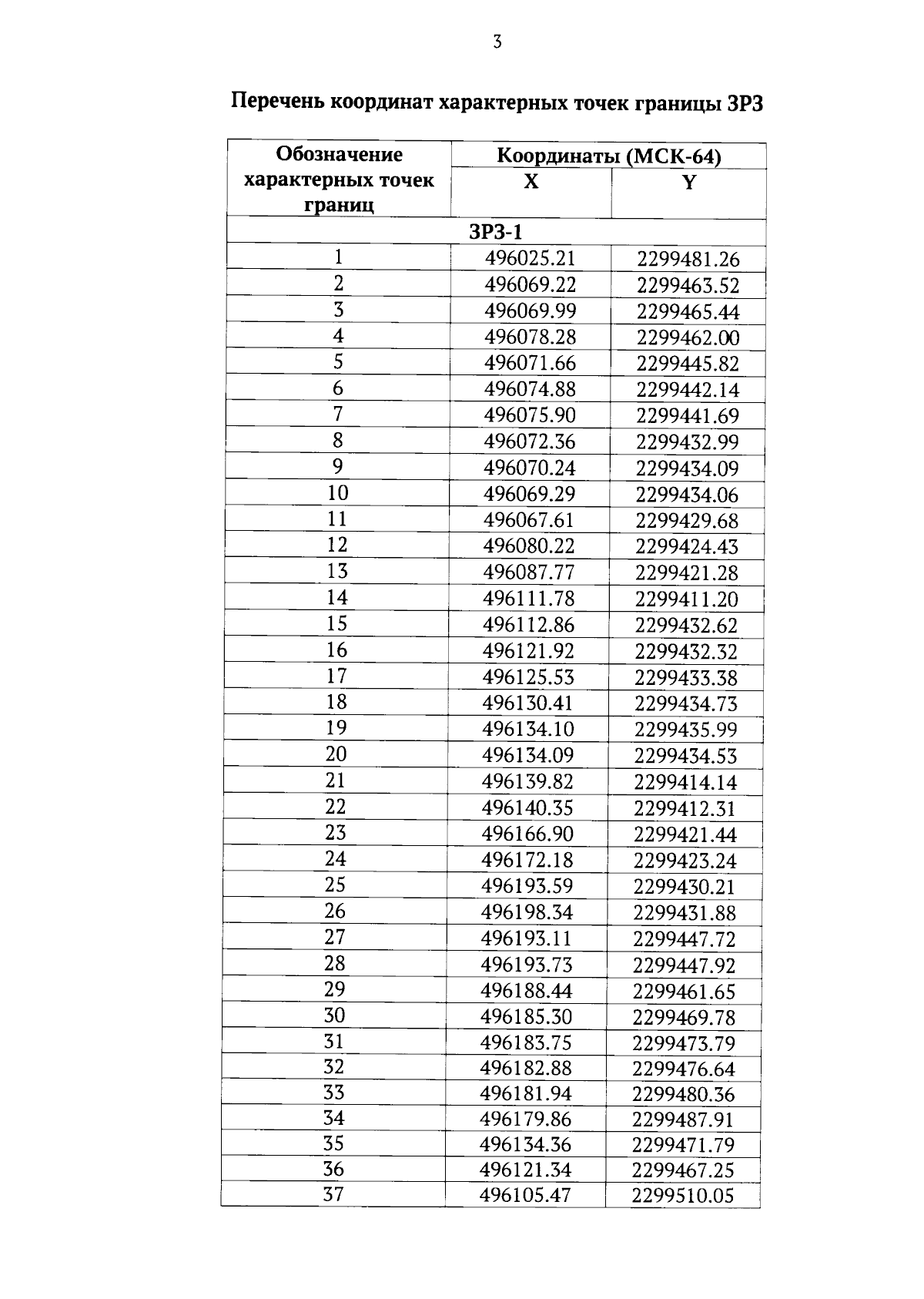
"Об утверждении зон охраны объекта культурного наследия федерального значения "Здание гимназии, где в 1851-1853 гг. преподавал писатель-революционер Чернышевский Николай Гаврилович. Здесь в 1858-1863 гг. учился физик-электротехник Яблочков Павел Николаевич", 1851-1853 гг., 1858-1863 гг., расположенного по адресу: Саратовская область, г. Саратов, ул. Некрасова, 17"
Номер опубликования: 6400202604100010
Дата опубликования: 10.04.2026
Страница №12 из 15:
Увеличить