Официальное опубликование правовых актов
ОФИЦИАЛЬНОЕ ОПУБЛИКОВАНИЕ
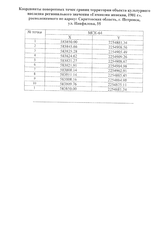
Приказ Управления по охране объектов культурного наследия Саратовской области от 12.11.2019 № 01-04/161
"Об утверждении границ территории объекта культурного наследия регионального значения, расположенного по адресу: Саратовская область, г. Петровск, ул. Панфилова, 55"
Номер опубликования: 6401201911180001
Дата опубликования: 18.11.2019
Страница №4 из 4:
Увеличить