Официальное опубликование правовых актов
ОФИЦИАЛЬНОЕ ОПУБЛИКОВАНИЕ
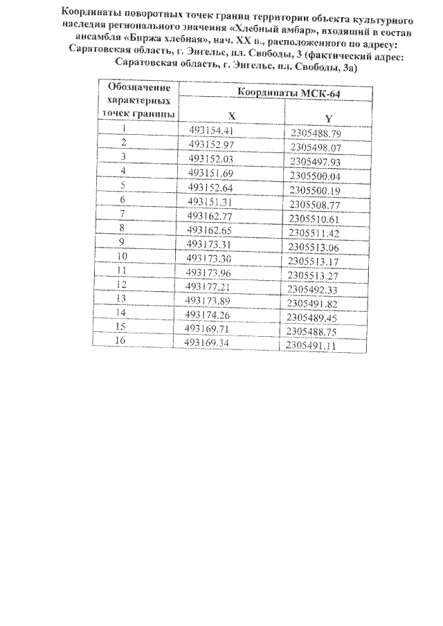
Приказ Управления по охране объектов культурного наследия Саратовской области от 09.11.2020 № 01-04/364
"Об утверждении границ территории и правового режима использования земельных участков в границах территории объекта культурного наследия регионального значения, расположенного по адресу: Саратовская область, г. Энгельс, пл. Свободы"
Номер опубликования: 6401202011130004
Дата опубликования: 13.11.2020
Страница №9 из 13:
Увеличить