Официальное опубликование правовых актов
ОФИЦИАЛЬНОЕ ОПУБЛИКОВАНИЕ
Приказ Министерства труда и социальной защиты Саратовской области от 12.12.2025 № 1293
"О внесении изменения в приказ министерства труда и социальной защиты Саратовской области от 28 апреля 2022 года № 479"
(Зарегистрирован 16.12.2025 № 03-2025-1-1950)
Номер опубликования: 6401202512220020
Дата опубликования: 22.12.2025
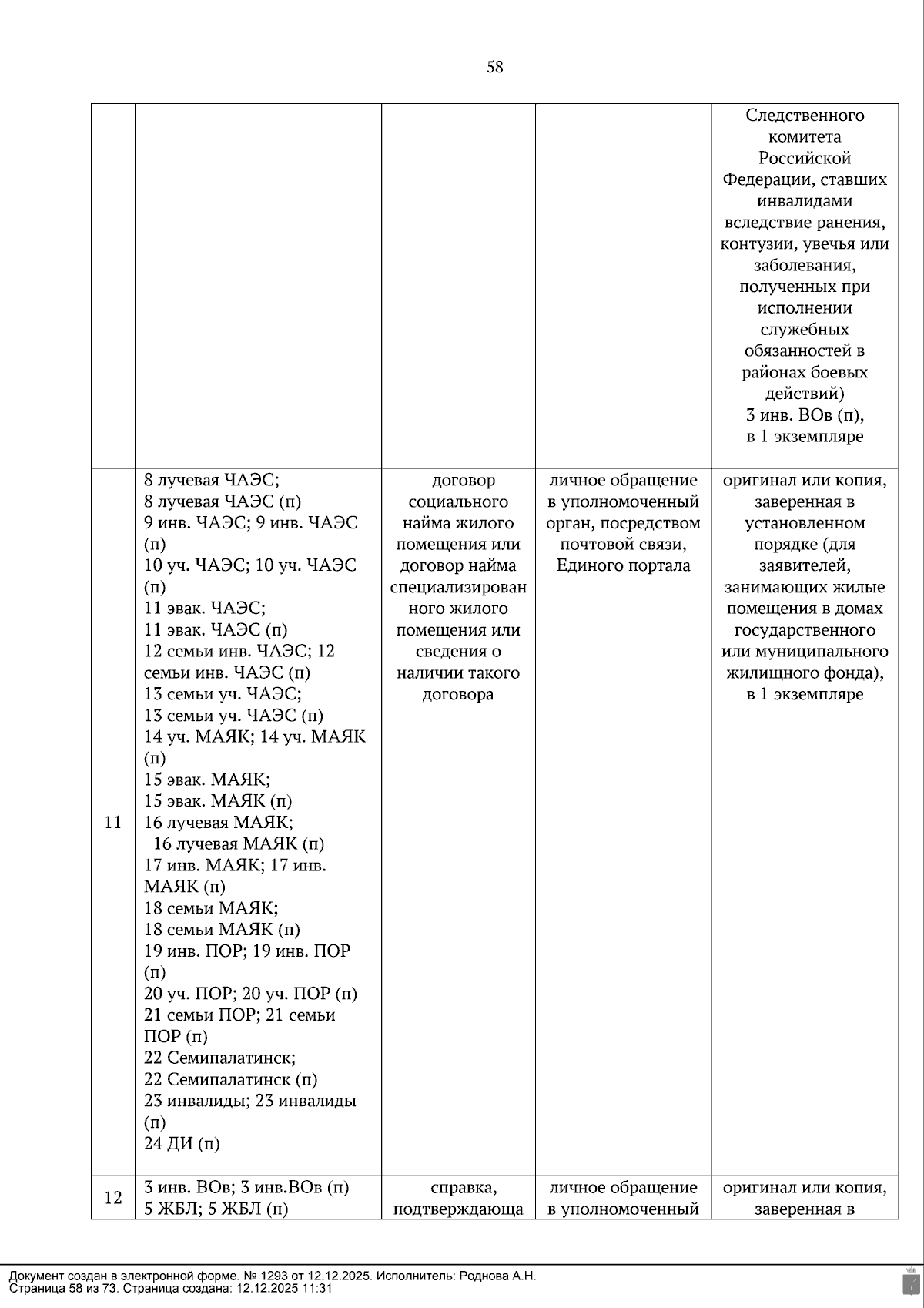
Страница №58 из 73:
Увеличить