Официальное опубликование правовых актов
ОФИЦИАЛЬНОЕ ОПУБЛИКОВАНИЕ
Приказ Комитета культурного наследия Саратовской области от 13.02.2026 № 01-04/36
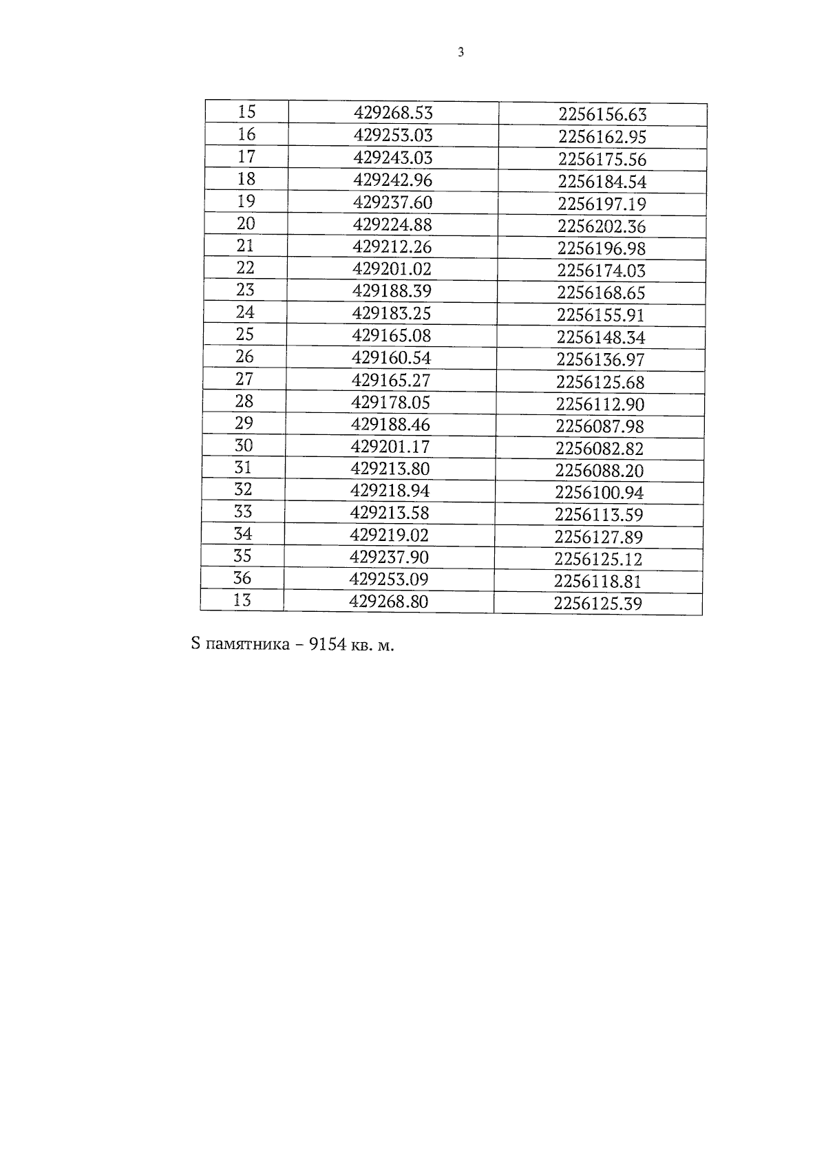
"О внесении изменений в приказ министерства культуры Саратовской области от 25 июня 2007 года № 01–05/189, утверждении границ и правового режима использования земель в границах территории выявленного объекта культурного наследия (памятника археологии) "Курганная группа "Бауэр 5" (10 насыпей)"
(Зарегистрирован 17.02.2026 № 25-2026-1-207)
Номер опубликования: 6401202602250002
Дата опубликования: 25.02.2026
Страница №5 из 6:
Увеличить