Официальное опубликование правовых актов
ОФИЦИАЛЬНОЕ ОПУБЛИКОВАНИЕ
Приказ Комитета культурного наследия Саратовской области от 13.02.2026 № 01-04/33
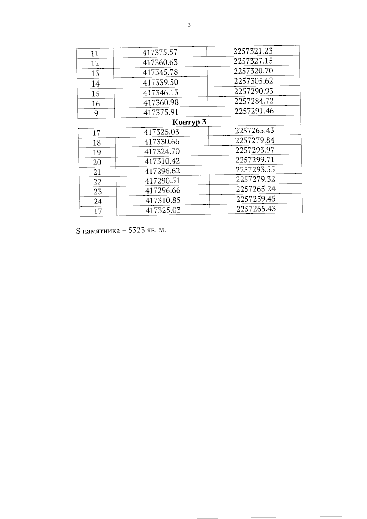
"О включении объекта, обладающего признаками объекта культурного наследия (памятника археологии), "Курганная группа "Россоша-I", расположенного по адресу (местонахождение): Саратовская область, Красноармейский район, у населённых пунктов Россоша и Первомайское, в 11,64 км к юго-юго-востоку от здания школы № 17 в с. Карамышевка Красноармейского района, в перечень выявленных объектов культурного наследия, утверждении границ территории и режима использования территории выявленного объекта культурного наследия"
(Зарегистрирован 17.02.2026 № 25-2026-1-204)
Номер опубликования: 6401202602250005
Дата опубликования: 25.02.2026
Страница №7 из 8:
Увеличить