Приказ Комитета культурного наследия Саратовской области от 13.02.2026 № 01-04/37
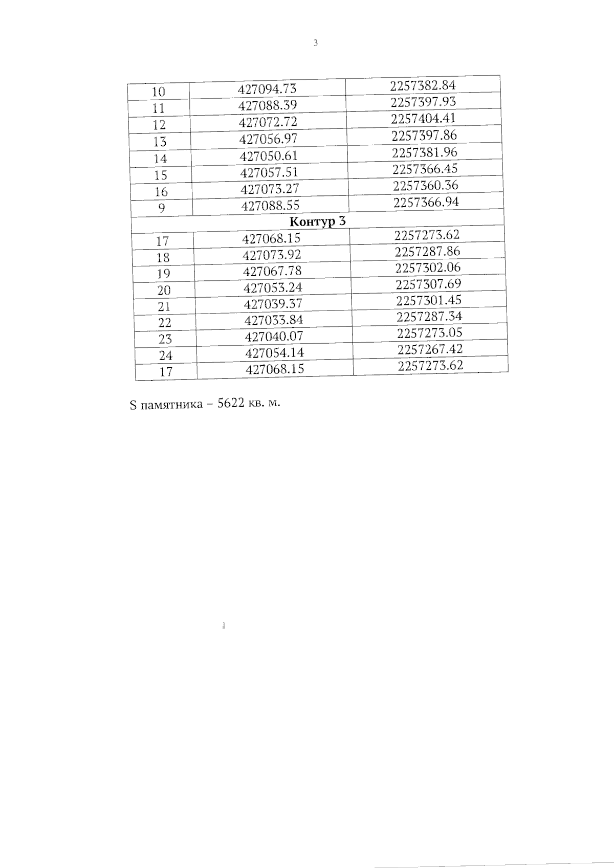
"О внесении изменений в приказ министерства культуры Саратовской области от 25 июня 2007 года № 01–05/189, утверждении границ и правового режима использования земель в границах территории выявленного объекта культурного наследия (памятника археологии) "Курганная группа "Гримм 2" (3 насыпи)"
(Зарегистрирован 17.02.2026 № 25-2026-1-208)
"О внесении изменений в приказ министерства культуры Саратовской области от 25 июня 2007 года № 01–05/189, утверждении границ и правового режима использования земель в границах территории выявленного объекта культурного наследия (памятника археологии) "Курганная группа "Гримм 2" (3 насыпи)"
(Зарегистрирован 17.02.2026 № 25-2026-1-208)
Номер опубликования: 6401202602250011
Дата опубликования:
25.02.2026
