Приказ Комитета культурного наследия Саратовской области от 13.03.2026 № 01-04/62
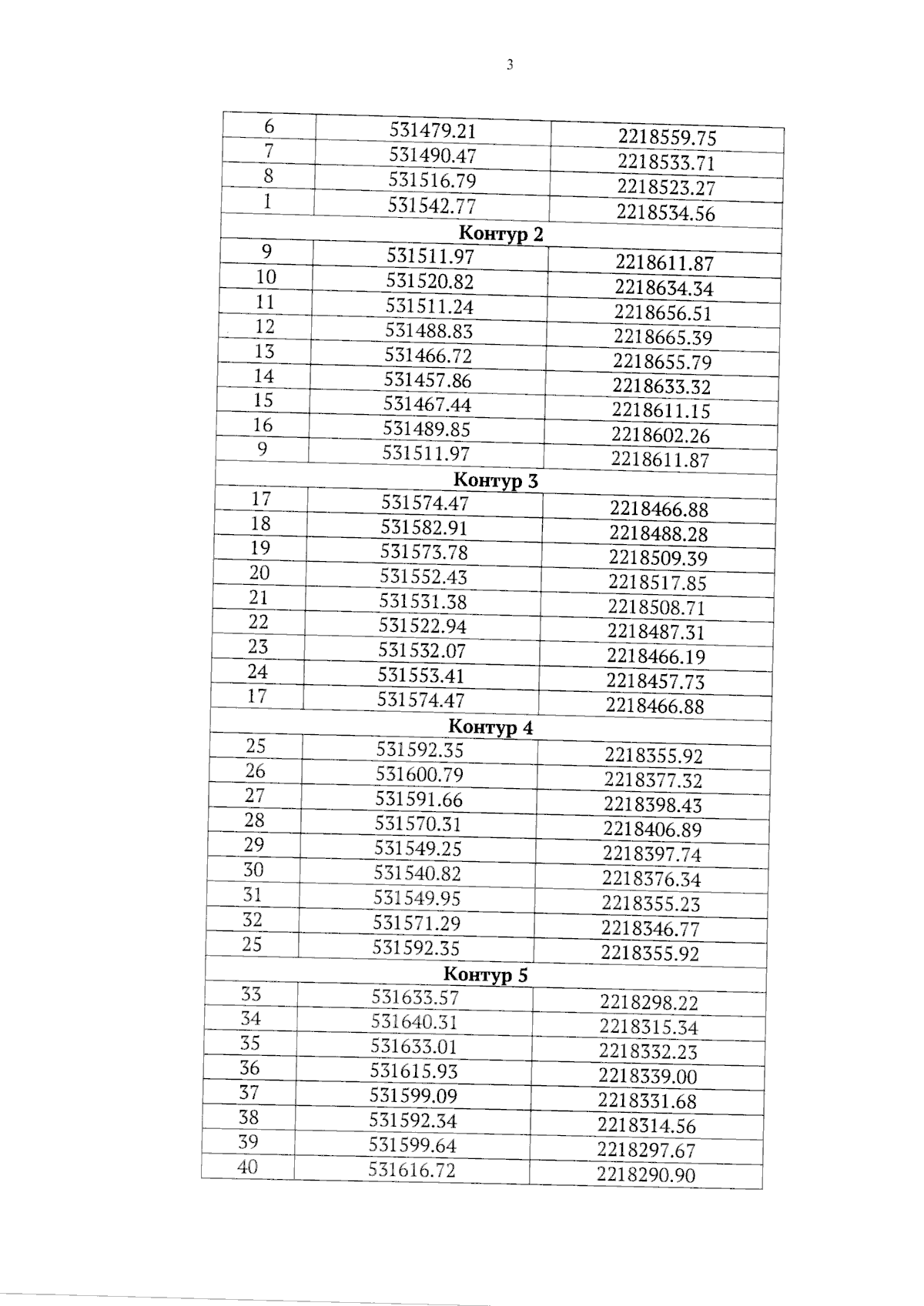
"О включении объекта, обладающего признаками объекта культурного наследия (памятника археологии), "Курганный могильник "Елизаветино", расположенного по адресу (местонахождение): Саратовская область, Аткарский район, в 2,03 км к востоко- северо-востоку от восточной окраины с. Елизаветино (перекрёсток ул. Приовражной и ул. Советской), в перечень выявленных объектов культурного наследия, утверждении границ территории и режима использования территории выявленного объекта культурного наследия"
(Зарегистрирован 17.03.2026 № 25‑2026‑1‑344)
"О включении объекта, обладающего признаками объекта культурного наследия (памятника археологии), "Курганный могильник "Елизаветино", расположенного по адресу (местонахождение): Саратовская область, Аткарский район, в 2,03 км к востоко- северо-востоку от восточной окраины с. Елизаветино (перекрёсток ул. Приовражной и ул. Советской), в перечень выявленных объектов культурного наследия, утверждении границ территории и режима использования территории выявленного объекта культурного наследия"
(Зарегистрирован 17.03.2026 № 25‑2026‑1‑344)
Номер опубликования: 6401202603250012
Дата опубликования:
25.03.2026
