Официальное опубликование правовых актов
ОФИЦИАЛЬНОЕ ОПУБЛИКОВАНИЕ
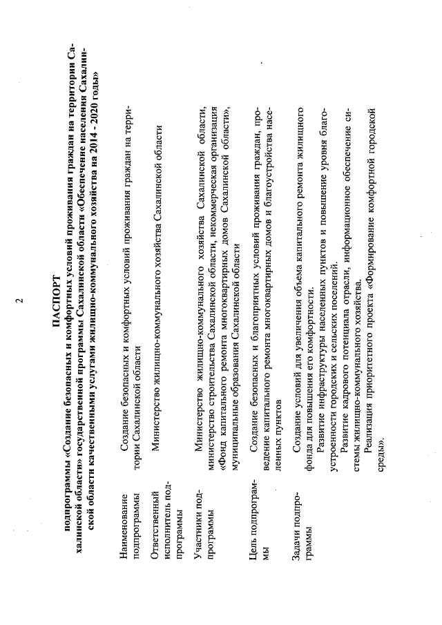
Постановление Правительства Сахалинской области от 21.08.2017 № 392
"О внесении изменений в государственную программу Сахалинской области "Обеспечение населения Сахалинской области качественными услугами жилищно-коммунального хозяйства на 2014 - 2020 годы", утвержденную постановлением Правительства Сахалинской области от 31.05.2013 № 278"
Номер опубликования: 6500201708240001
Дата опубликования: 24.08.2017
Страница №128 из 192:
Увеличить