Официальное опубликование правовых актов
ОФИЦИАЛЬНОЕ ОПУБЛИКОВАНИЕ
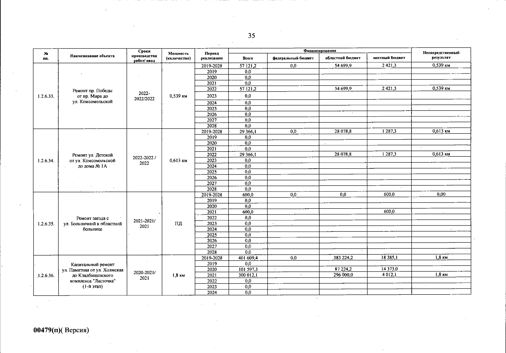
Постановление Правительства Сахалинской области от 11.11.2025 № 460
"О внесении изменений в государственную программу Сахалинской области "Развитие транспортной инфраструктуры и дорожного хозяйства Сахалинской области", утвержденную постановлением Правительства Сахалинской области от 03.08.2023 № 414"
Номер опубликования: 6500202511120002
Дата опубликования: 12.11.2025
Страница №38 из 51:
Увеличить