Официальное опубликование правовых актов
ОФИЦИАЛЬНОЕ ОПУБЛИКОВАНИЕ
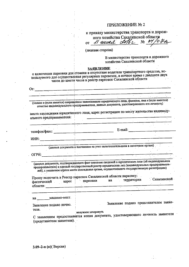
Приказ Министерства транспорта и дорожного хозяйства Сахалинской области от 11.07.2016 № 04/07п
"Об определении мест расположения в границах Сахалинской области парковок, предназначенных для стоянки в отсутствие водителя транспортного средства, используемого для осуществления регулярных перевозок, в ночное время с двадцати двух часов вечера до шести часов утра"
Номер опубликования: 6501201607190002
Дата опубликования: 19.07.2016
Страница №9 из 11:
Увеличить