Официальное опубликование правовых актов
ОФИЦИАЛЬНОЕ ОПУБЛИКОВАНИЕ
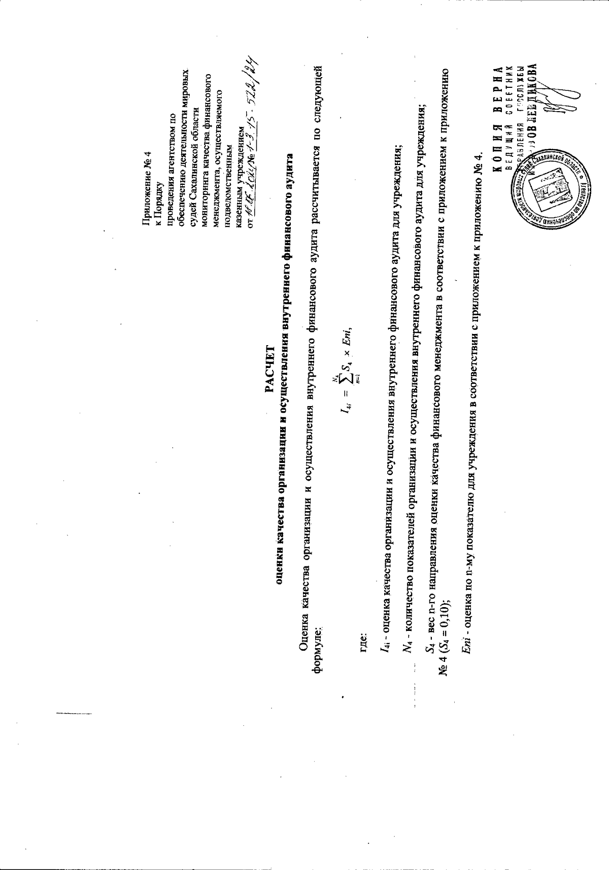
Приказ Агентства по обеспечению деятельности мировых судей Сахалинской области от 18.06.2024 № 1-3.15-522/24
"Об утверждении Порядка проведения агентством по обеспечению деятельности мировых судей Сахалинской области мониторинга качества финансового менеджмента, осуществляемого подведомственным казенным учреждением"
(Зарегистрирован 18.06.2024 № 1-3.15-522/24)
Номер опубликования: 6501202406250004
Дата опубликования: 25.06.2024
Страница №18 из 31:
Увеличить