Официальное опубликование правовых актов
ОФИЦИАЛЬНОЕ ОПУБЛИКОВАНИЕ
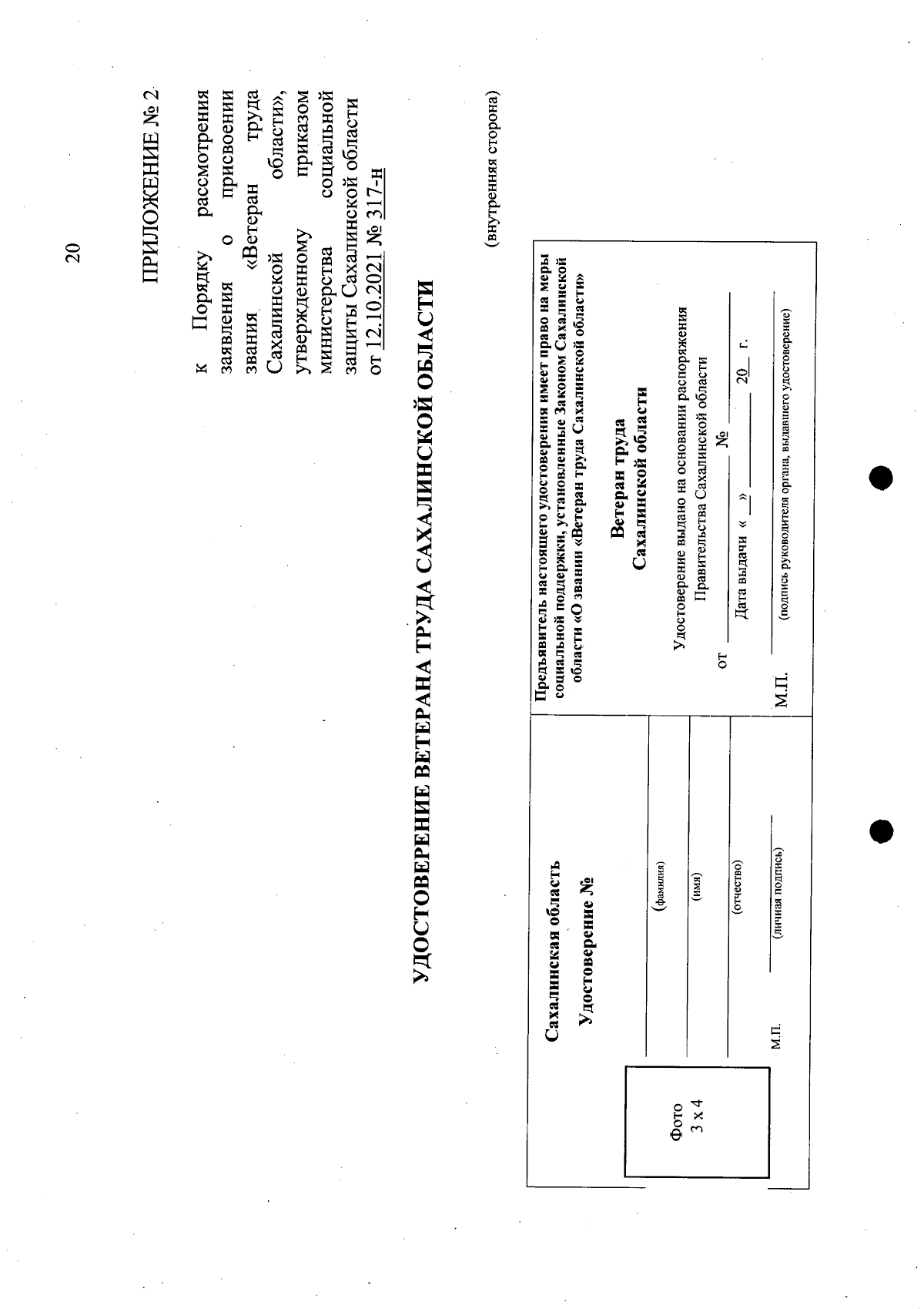
Приказ Министерства социальной защиты Сахалинской области от 29.09.2025 № 1-3.11-607/25
"О внесении изменений в приказ министерства социальной защиты Сахалинской области от 12.10.2021 № 317-н "Об утверждении Порядков рассмотрения заявлений о присвоении званий "Ветеран труда Сахалинской области", "Ветеран труда"
(Зарегистрирован 29.09.2025 № 1-3.11-607/25)
Номер опубликования: 6501202510010003
Дата опубликования: 01.10.2025
Страница №22 из 59:
Увеличить