Официальное опубликование правовых актов
ОФИЦИАЛЬНОЕ ОПУБЛИКОВАНИЕ
Приказ Региональной энергетической комиссии Сахалинской области от 15.12.2025 № 1-3.25-829/25
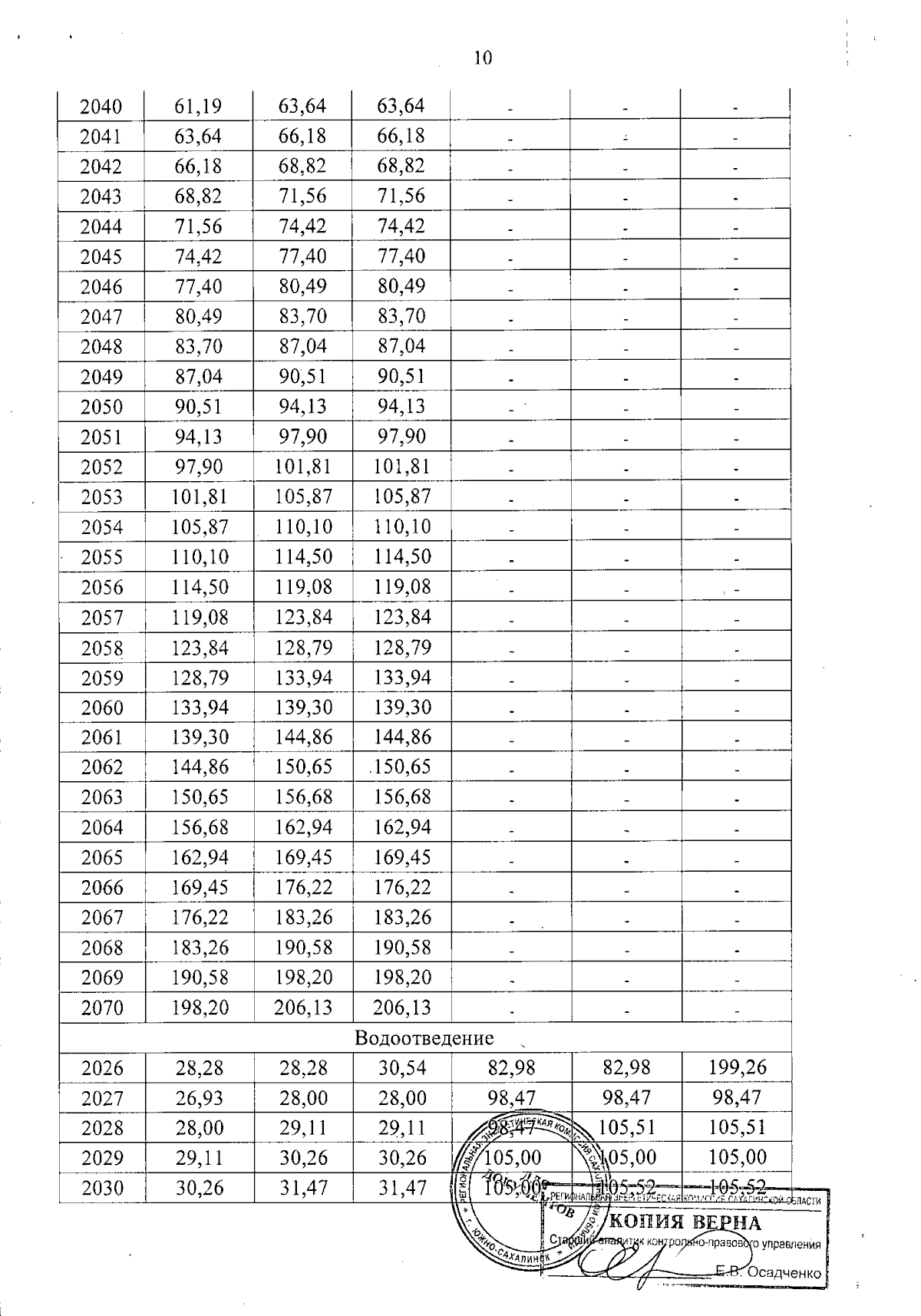
"О внесении изменений в приказ региональной энергетической комиссии Сахалинской области от 27 декабря 2021 года № 105-ОКК "Об установлении тарифов общества с ограниченной ответственностью "РВК-Сахалин" на питьевую воду (питьевое водоснабжение) и водоотведение на долгосрочный период 2022 - 2070 годов"
(Зарегистрирован 15.12.2025 № 1-3.25-829/25)
Номер опубликования: 6501202512180015
Дата опубликования: 18.12.2025
Страница №10 из 12:
Увеличить