Официальное опубликование правовых актов
ОФИЦИАЛЬНОЕ ОПУБЛИКОВАНИЕ
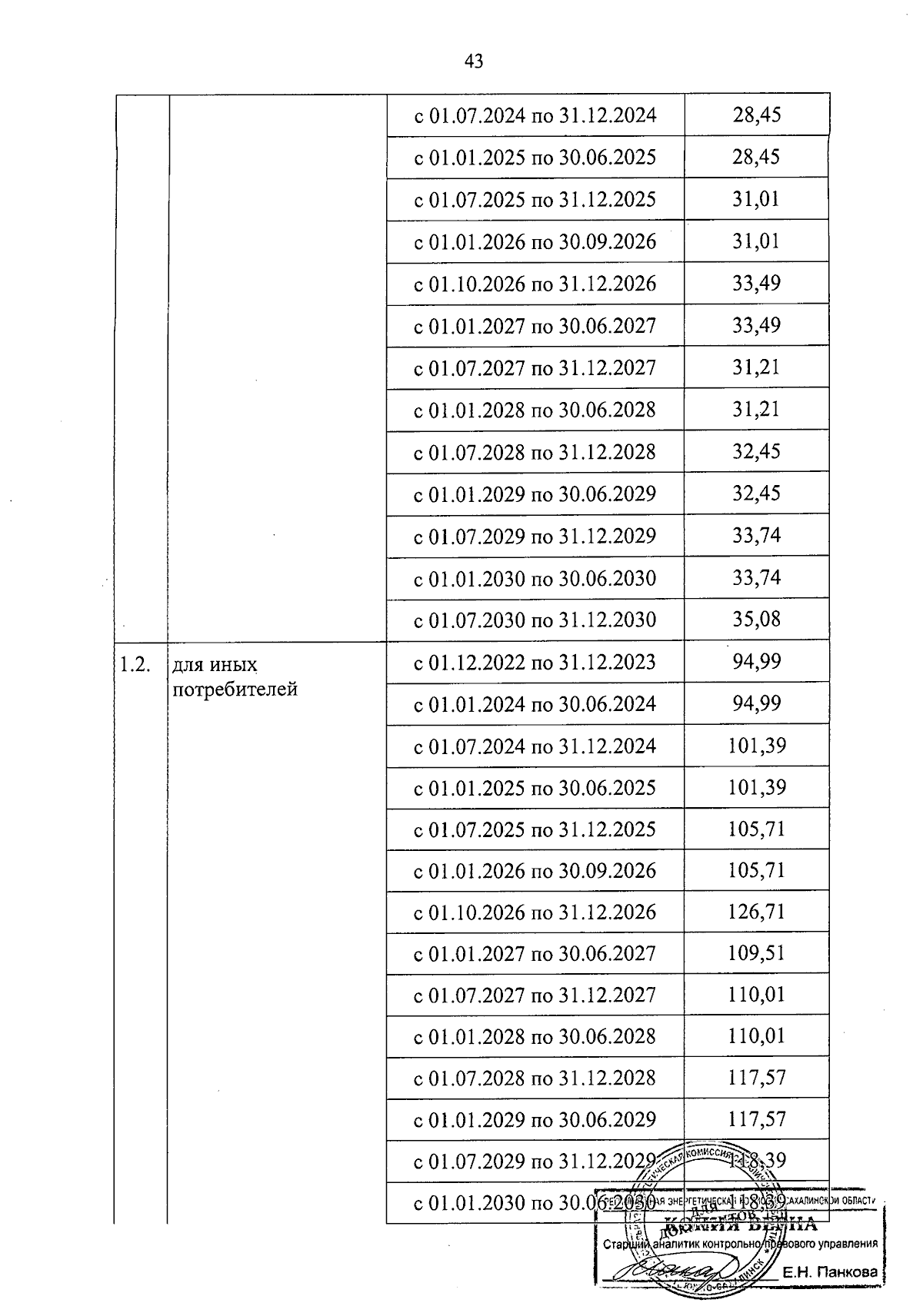
Приказ Региональной энергетической комиссии Сахалинской области от 25.12.2025 № 1-3.25-932/25
"О внесении изменений в некоторые приказы региональной энергетической комиссии Сахалинской области"
(Зарегистрирован 25.12.2025 № 1-3.25-932/25)
Номер опубликования: 6501202512300005
Дата опубликования: 30.12.2025
Страница №43 из 117:
Увеличить