Официальное опубликование правовых актов
ОФИЦИАЛЬНОЕ ОПУБЛИКОВАНИЕ
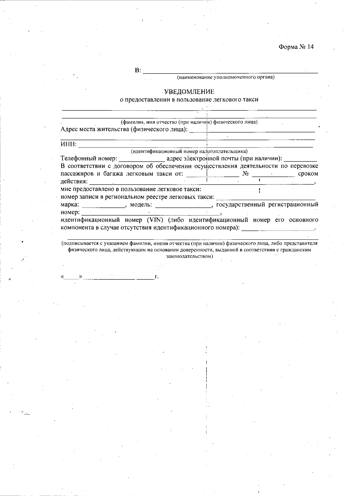
Приказ Министерства транспорта и дорожного хозяйства Сахалинской области от 10.03.2026 № 1-3.09-134/26
"Об утверждении Порядка организации перевозок пассажиров и багажа легковым такси на территории Сахалинской области"
(Зарегистрирован 10.03.2026 № 1-3.09-134/26)
Номер опубликования: 6501202603120001
Дата опубликования: 12.03.2026
Страница №58 из 62:
Увеличить