Официальное опубликование правовых актов
ОФИЦИАЛЬНОЕ ОПУБЛИКОВАНИЕ
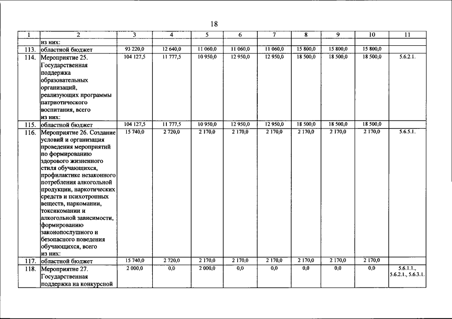
Постановление Правительства Свердловской области от 25.12.2014 № 1199-ПП
"О внесении изменений в государственную программу Свердловской области "Развитие системы образования в Свердловской области до 2020 года", утвержденную постановлением Правительства Свердловской области от 21.10.2013 № 1262-ПП"
Номер опубликования: 6600201412300027
Дата опубликования: 30.12.2014
Страница №18 из 48:
Увеличить