Официальное опубликование правовых актов
ОФИЦИАЛЬНОЕ ОПУБЛИКОВАНИЕ
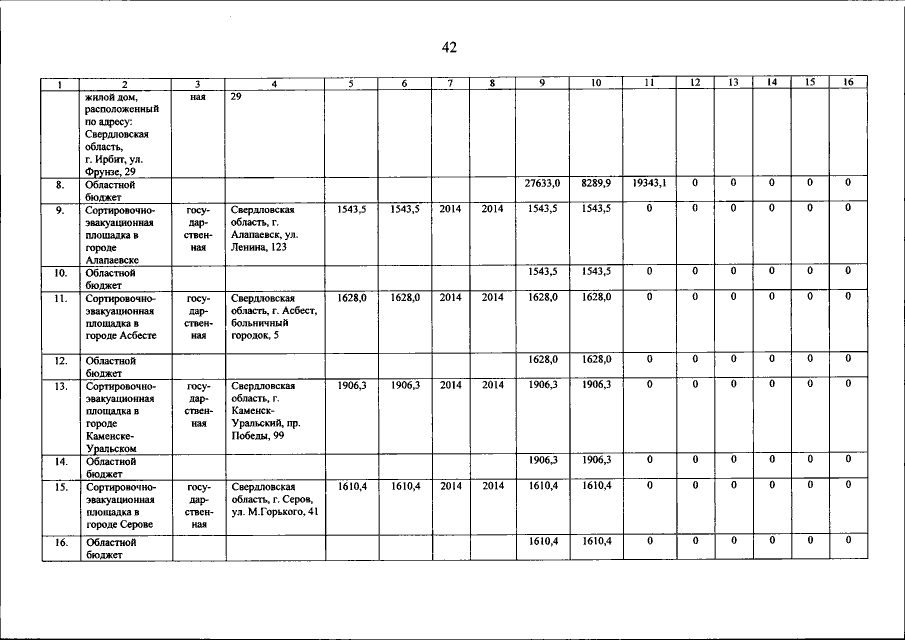
Постановление Правительства Свердловской области от 30.12.2014 № 1240-ПП
"О внесении изменений в государственную программу Свердловской области "Развитие здравоохранения Свердловской области до 2020 года", утвержденную постановлением Правительства Свердловской области от 21.10.2013 № 1267-ПП"
Номер опубликования: 6600201501040032
Дата опубликования: 04.01.2015
Страница №42 из 61:
Увеличить