Официальное опубликование правовых актов
ОФИЦИАЛЬНОЕ ОПУБЛИКОВАНИЕ
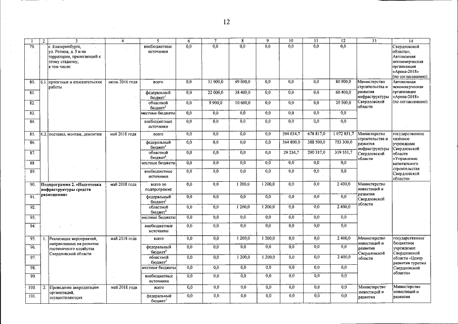
Постановление Правительства Свердловской области от 22.12.2016 № 897-ПП
"О внесении изменений в постановление Правительства Свердловской области от 27.12.2013 № 1683-ПП "Об утверждении комплексной программы Свердловской области "Программа подготовки к проведению в 2018 году чемпионата мира по футболу"
Номер опубликования: 6600201612270008
Дата опубликования: 27.12.2016
Страница №12 из 25:
Увеличить