Официальное опубликование правовых актов
ОФИЦИАЛЬНОЕ ОПУБЛИКОВАНИЕ
Постановление Правительства Свердловской области от 29.12.2016 № 971-ПП
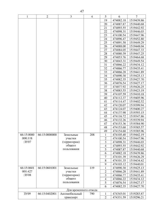
"Об утверждении основной части проекта планировки территории для размещения линейного объекта транспортной инфраструктуры регионального значения "Реконструкция мостового перехода через р. Нейву на км 15 + 640 автомобильной дороги г. Невьянск – д. Сербишино на территории Невьянского городского округа" и проекта межевания территории для размещения линейного объекта транспортной инфраструктуры регионального значения "Реконструкция мостового перехода через р. Нейву на км 15 + 640 автомобильной дороги г. Невьянск – д. Сербишино на территории Невьянского городского округа"
Номер опубликования: 6600201701030026
Дата опубликования: 03.01.2017
Страница №47 из 52:
Увеличить