Официальное опубликование правовых актов
ОФИЦИАЛЬНОЕ ОПУБЛИКОВАНИЕ
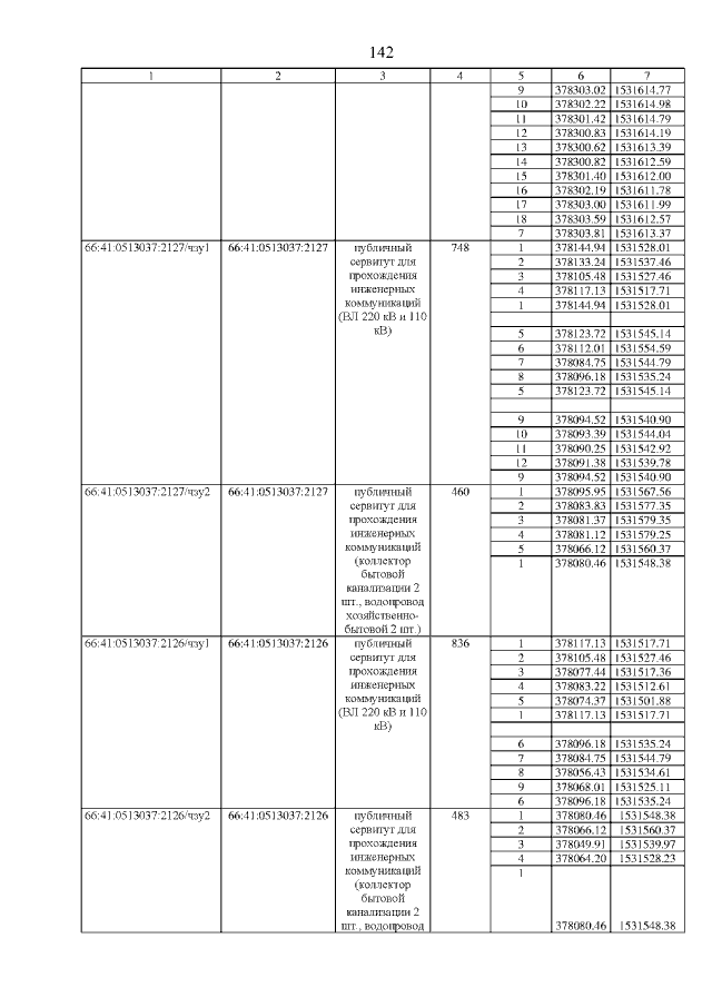
Постановление Правительства Свердловской области от 27.04.2017 № 299-ПП
"Об утверждении основной части проекта планировки территории для размещения комплекса линейных объектов автомобильной дороги вокруг г. Екатеринбурга на участке автодорога Пермь – Екатеринбург – автодорога Подъезд к г. Екатеринбургу от автодороги "Урал", II пусковой комплекс – автодорога Подъезд к п. Медному – автодорога Екатеринбург – Полевской в Свердловской области и проекта межевания территории для размещения комплекса линейных объектов автомобильной дороги вокруг г. Екатеринбурга на участке автодорога Пермь – Екатеринбург – автодорога Подъезд к г. Екатеринбургу от автодороги "Урал", II пусковой комплекс – автодорога Подъезд к п. Медному – автодорога Екатеринбург – Полевской в Свердловской области"
Номер опубликования: 6600201705060009
Дата опубликования: 06.05.2017
Страница №142 из 162:
Увеличить