Официальное опубликование правовых актов
ОФИЦИАЛЬНОЕ ОПУБЛИКОВАНИЕ
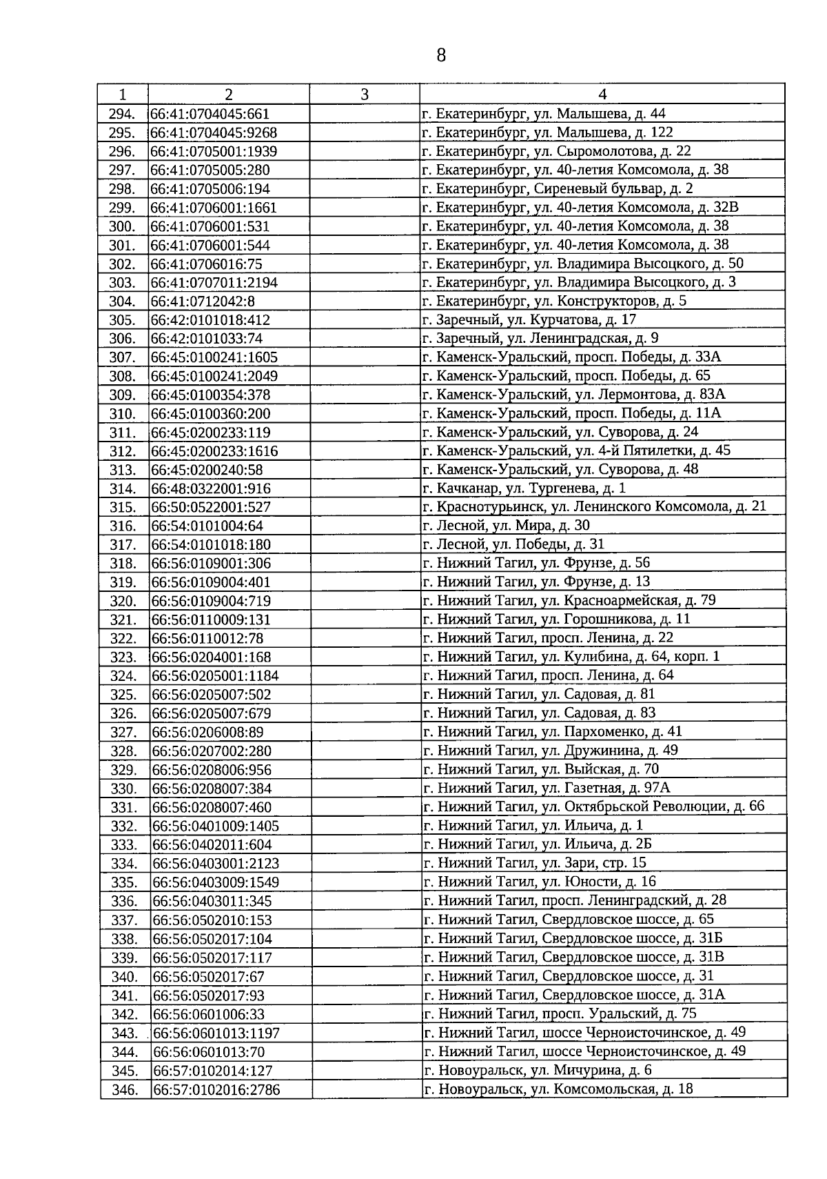
Постановление Правительства Свердловской области от 23.11.2023 № 868-ПП
"Об определении перечня объектов недвижимого имущества, в отношении которых налоговая база по налогу на имущество организаций определяется как кадастровая стоимость, на 2024 год"
Номер опубликования: 6600202311280001
Дата опубликования: 28.11.2023
Страница №8 из 9:
Увеличить