Официальное опубликование правовых актов
ОФИЦИАЛЬНОЕ ОПУБЛИКОВАНИЕ
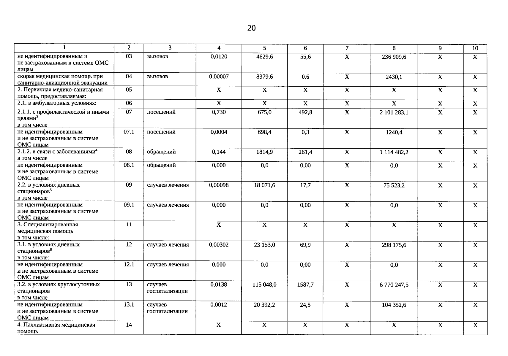
Постановление Правительства Свердловской области от 20.06.2024 № 390-ПП
"О внесении изменений в Территориальную программу государственных гарантий бесплатного оказания гражданам медицинской помощи в Свердловской области на 2024 год и на плановый период 2025 и 2026 годов, утвержденную постановлением Правительства Свердловской области от 25.12.2023 № 1017-ПП"
Номер опубликования: 6600202406250009
Дата опубликования: 25.06.2024
Страница №20 из 108:
Увеличить