Официальное опубликование правовых актов
ОФИЦИАЛЬНОЕ ОПУБЛИКОВАНИЕ
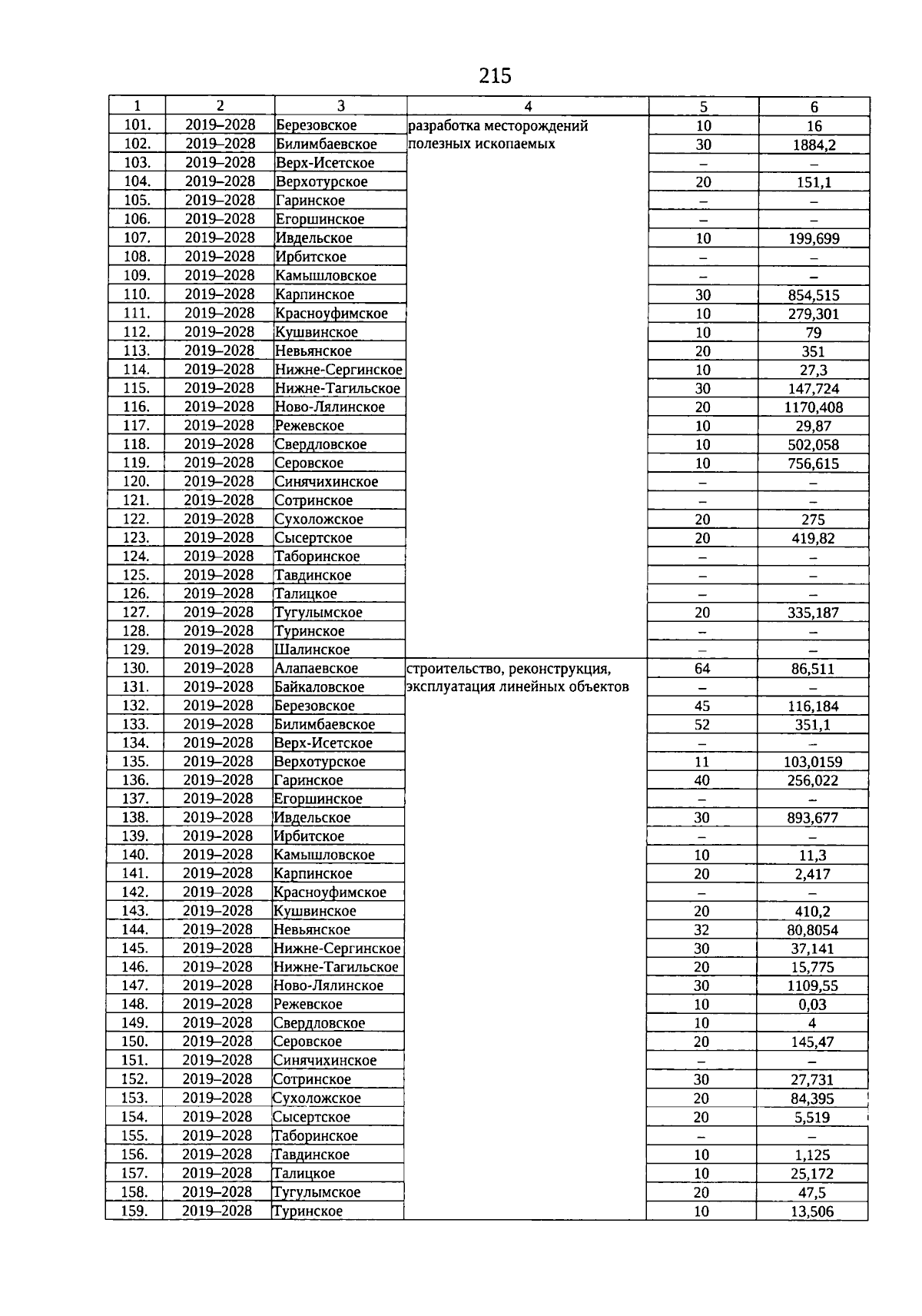
Указ Губернатора Свердловской области от 07.11.2024 № 498-УГ
"О внесении изменений в Лесной план Свердловской области на 2019–2028 годы, утвержденный Указом Губернатора Свердловской области от 18.09.2019 № 450-УГ"
Номер опубликования: 6600202411140004
Дата опубликования: 14.11.2024
Страница №215 из 273:
Увеличить